Equilibrium

Contents: Introduction Physical Equilibrium Chemical Equilibrium Law of Chemical equilibrium Equilibrium Constant (Kp & Kc) Relationship between Kp & Kc Application of Equilibrium constant Temperature dependence of Equilibrium constant (K): Van’t Hoff equation Factors affecting Equilibrium constant: : Le-Chatelier’s Principle Ionic Equilibrium Acids, Bases, & Salts Ionization of Water The pH Scale Ionization constants of weak Acids & Bases pH indicators and their choice in Titrimetry Hydrolysis of Salts & pH of Solution Buffer solutions Solubility Equilibria of Sparingly soluble salts Solubility product 7.1 Introduction In our daily life, we observe several chemical and physical changes. Few chemical reactions proceed in only one direction whereas many reactions proceed in both the directions (reversible reactions). For example, a banana gets ripened after few days; iron gets rusted slowly, etc. These processes proceed in one direction. The transport of oxygen by hemoglobin in our body is an example for a reversible change. The hemoglobin combines with oxygen in lungs to form oxyhemoglobin and then oxy-hemoglobin forms hemoglobin by releasing oxygen facilitating the transport and delivery of O 2 from our lungs to our muscles. In fact, in our lungs all the three species; hemoglobin, oxygen, and oxyhemoglobin coexist. Equilibrium can be established for both physical processes and chemical reactions. Let us take an example of physical change, evaporation of liquid in a closed container. Here, molecules with relatively higher kinetic energy escape the liquid surface into the vapour phase and some molecules of liquid, in the vapour phase strike the liquid surface and are retained in the liquid phase. As number of molecules leaving the liquid equals the number coming back to liquid state from the vapour, we can say that the system has reached equilibrium though it is not a static equilibrium. It will also lead to a constant vapour pressure. In chemical reactions, the concentration of the reactants decreases and that of the products increases with time. In a reversible reaction, upon formation of the product, the reverse reaction begins to take place. A stage will reach, when the rate of the forward reaction is equal to the rate of backward reaction indicating a state of equilibrium. It is due to this dynamic equilibriu.m stage that there is no change in the concentrations of various species in the reaction mixture. It is necessary for us to know the three significant aspects of a chemical reaction; the feasibility of the reaction, the rate of the reaction and the extent of reaction. The feasibility of a reaction can be known from thermodynamics, the rate of the reaction can be known from chemical kinetic and the extent of a reaction can be known from equilibrium constant; an important term of equilibrium. The extent of a reaction in equilibrium varies with the experimental conditions such as concentrations of reactants, temperature, etc. 7.2 Physical Equilibrium 7.2.1 Phase transformation processes Physical equilibrium is equilibrium between two different physical states of same substance. In these processes, there is no change in chemical composition and the amount of matter constituting different phases does not change with time. It represents the existence of the same substance in two different physical states. The most common examples of physical equilibrium are phase transformation processes, such as between a) Solid and liquid b) Liquid and vapour c) Solid and vapour a) Solid-liquid equilibrium If some ice-cubes and water are placed in a thermos flask (no exchange of heat between its contents and the surroundings) at 273 K and 1 atm pressure, then there will be no change in the mass of ice and water. This system will reach a state of physical equilibrium (dynamic) in which the amount of water in the solid phase and liquid phase does not change with time. In the process the total number of water molecules leaving from and returning to the solid phase at any instant is equal. So, at equilibrium, rate of melting of ice is equal to the rate of freezing of water. H 2 O (s) ⇌ H 2 O (l) It is obvious that ice and water are in equilibrium only at a particular temperature and pressure. For any pure substance at atmospheric pressure, the temperature at which the solid and liquid phases are at equilibrium is called the normal melting point or normal freezing point of the substance. b) Liquid-vapour equilibrium When the liquid evaporates in the closed container, the liquid molecules escape from the liquid surface into vapour phase building up vapour pressure. They also condense back into liquid state because the container is closed. In the beginning the rate of evaporation is high and the rate of condensation is low. But with time, as more and more vapour is formed, the rate of evaporation goes down and the rate of condensation increases. Eventually the two rates become equal. This gives rise to a constant vapour pressure. This state is known as an equilibrium state. In this state, the rate of evaporation is equal to the rate of condensation. H 2 O (l) ⇌ H 2 O (g) The temperature at which vapour pressure of liquid is equal to the external pressure is called boiling temperature at that pressure. The normal boiling point of a liquid is the temperature at which its vapour pressure is equal to 1 atm. c) Solid-vapour equilibrium This type of equilibrium is attained for solids that sublime to vapour. In this process also, equilibrium can be established between these two phases. For example, if solid iodine is placed in a closed transparent vessel, after sometime, the vessel gets filled up with violet vapour due to sublimation of iodine. Initially, the intensity of the violet colour increases, after sometime it decreases and finally it becomes constant, as the following equilibrium is attained. I 2 (solid) ⇌ I 2 (vapour) At equilibrium is attained, rate of sublimation of solid I 2 to form vapour is equal to the rate of condensation of I 2 vapour to give solid I 2 . 7.2.2 Equilibrium involving dissolution of solids or gases in liquids Dissolution of Solid in liquid When we add sugar to water at a particular temperature, it dissolves to form sugar solution. If you continue to add much sugar, you will reach a stage at which the added sugar remains as solid and the resulting solution is called a saturated solution. At this stage, as many molecules of sugar from the surface of the solid sugar go into the solution, the same number of molecules of sugar from the solution is deposited back on the surface of the solid sugar. Thus, a dynamic equilibrium is established between the solute molecules in the solid phase and in the solution phase. Sugar (solution) ⇌ Sugar (solid) Dissolution of Gases in liquids When a gas dissolves in a liquid under a given pressure, there will be equilibrium between gas molecules in the gaseous state and those dissolved in the liquid. CO 2 (gas) ⇌ CO 2 (solution) In a sealed soda water bottle, the pressure of the gas is very high above the liquid, so the mass of the gas dissolved is also high. As soon as the bottle is opened, the pressure tends to decrease to atmospheric pressure, so the solubility decreases, i.e. the dissolved gas escapes out. The phenomenon occurs due to difference in solubility of carbon dioxide at different pressures. The amount of gas dissolved is governed by Henry’s law which states that “the mass of a gas dissolved in a given mass of a solvent at any temperature is directly proportional to the pressure of the gas above the solvent”. 7.2.3 Some features of physical Equilibria  For solid-liquid equilibrium, there is only one temperature (melting point) at 1 atm (1.013 bar) at which the two phases can coexist.  For liquid-vapour equilibrium, the vapour pressure is constant at a given temperature.  For dissolution of solids in liquids, the solubility of the solid (solute) in liquid (solvent) is constant at a given temperature.  For dissolution of gases in liquids, the concentration of a gas in liquid is proportional to the pressure (concentration) of the gas over the liquid. 7.3 Chemical Equilibrium Similar to physical processes, chemical reactions gradually attain a state of equilibrium after sometime. Let us consider a general reversible reaction A + B ⇌ C + D At the start of the reaction, concentrations of A and B are maximum and that of C and D are minimum (zero). Hence, the rate of the forward reaction is maximum and that of the backward reaction is zero. As the reaction proceeds, reactants A and B react to produce products C and D. Thus the concentrations of reactants A and B decrease and that of products increases. The rate of the forward reaction decreases and that of the backward reaction increases. A point will be reached when the rate of the forward reaction is equal to the rate of the backward reaction. This state of the reaction is called the chemical equilibrium when concentrations of reactants and products remain unchanged throughout. It means that at equilibrium neither forward nor backward reaction stops, but are continued at equal rates in opposite directions. Hence we can say that the equilibrium is dynamic and not static. It is to be noted that the reversible reactions involving gaseous substances are carried out in a closed vessel.
7.3.1 Demonstration of Chemical Equilibrium Hydrogen and iodine are heated in a closed vessel. The reacting mixture is deep violet in colour due to the presence of iodine vapours. At 717 K the reaction between the reactants takes place. Gradually the deep violet colour of the mixture becomes faint indicating that iodine is being consumed. After some time it is observed that the intensity of violet colour becomes constant, indicating that the reaction is stopped although both hydrogen and iodine are present. This happens because equilibrium is reached. Thus the reaction is reversible and can be represented by
H 2 (g) + I 2 (g) ⇌ 2HI (g) Chemical equilibrium can be attained whether the reaction begins with all reactants and no products or all products and no reactants, or some of both. In the reaction depicted by the graph (A), the reaction begins with only H 2 and I 2 present and no HI initially. As the reaction proceeds toward equilibrium, the concentrations of the H 2 and I 2 gradually decrease, while the concentration of the HI gradually increases. When the curve levels out, equilibrium has been reached. At equilibrium, concentrations of all substances are constant. In graph (B), the process begins with only HI and no H 2 or I 2 . In this case, the concentration of HI gradually decreases while the concentrations of H 2 and I 2 gradually increase until equilibrium is again reached. In both cases, the relative position of equilibrium is the same, as shown by the relative concentrations of reactants and products. The combined effect of (A) and (B) are shown in graph (C). The concentration of HI at equilibrium is significantly higher than the concentrations of H 2 and I 2 whether the reaction began with all reactants or all products. The position of equilibrium is a property of the particular reversible reaction and does not depend upon how equilibrium was achieved.
7.3.2 Characteristics of Chemical Equilibrium The system must be closed, meaning no substances can enter or leave the system. Even though we don’t necessarily see the reactions, both the forward and reverse reactions are taking place. Thus chemical equilibrium is dynamic in nature. The amount of reactants and products do not have to be equal. However, after equilibrium is attained, the amounts of reactants and products will be constant (equilibrium concentrations). At equilibrium, the rate of the forward reaction is equal to the rate of the backward reaction. At the chemical equilibrium, the observable properties of the system like pressure, colour, concentrations, etc. become constant and remain unchanged thereafter. The equilibrium can be approached from either direction. State of chemical equilibrium is unaffected by catalyst because the presence of catalyst equally increases the speed of both the forward and the backward reaction. State of chemical equilibrium changes with the change in factors like concentration, temperature and pressure. 7.4 Law of Chemical equilibrium The mixture of reactants and products formed at the chemical equilibrium state is called equilibrium mixture. The concentrations of the reactants and products in a chemical equilibrium state for a reversible reaction are called equilibrium concentrations. Now, a number of important questions about the composition of equilibrium mixtures may arise such as: What is the relationship between the concentrations of reactants and products in an equilibrium mixture? How to determine equilibrium concentrations from initial concentrations? What factors can be used to alter the composition of an equilibrium mixture? The last question is relevant while choosing conditions for synthesis of industrial chemicals such as H 2 , NH 3 , CaO, etc. as high yields of these chemicals are expected. In 1864, Cato Maximilian Guldberg and Peter Waage formulated the law of mass action, based on the experimental studies of several reversible reactions. The law states that, “At any instant, the rate of a chemical reaction at a given temperature is directly proportional to the product of the active masses of the reactants at that instant”. Here, active mass is molar concentration per unit volume of that substance. Rate ∝ [Reactant] x Here, x is the stoichiometric coefficient of the reactant and the square bracket represents the active mass or concentration of the reactants. Concentration = n/V Here, n is the number of moles and V is the volume of the container in dm 3 or L. 7.4.1 Equilibrium constant (K c and K p ) Let us consider a reversible reaction, aA + bB ⇌ cC + dD Here, A and B are the reactants, C and D are the products. a, b, c and d are the stoichiometric coefficients of A, B, C and D, respectively. Applying the law of mass action, the rate of the forward reaction, r f ∝ [A] a [B] b or r f = k f [A] a [B] b k f = rate constant Similarly, the rate of the backward reaction, r b ∝ [C] c [D] d or r b = k b [C] c [D] d k b = rate constant At equilibrium, Rate of forward reaction (r f ) = Rate of backward reaction (r b ) k f [A] a [B] b = k b [C] c [D] d k f
k b
= [ C ] c [ D ] d
[ A ] a [ B ] b
= K c …………………(1)
Here, K c is the equilibrium constant in terms of concentration (active mass) and the equation is known as the law of mass action because in the early days of chemistry, concentration was called ‘active mass’. At a given temperature, the product of concentrations of the reaction products raised to the respective stoichiometric coefficient in the balanced chemical equation divided by the product of concentrations of the reactants raised to their individual stoichiometric coefficients has a constant value. This is known as the Equilibrium Law or Law of Chemical Equilibrium. If the reactants and products of the above reaction are in gas phase, then the equilibrium constant can be expressed in terms of partial pressure for a given temperature. From ideal gas equation P = n
V
RT
Here, n = number of moles, P = pressure, V = volume, T = temperature in K, R = universal gas constant Since, active mass = molar concentration = n/V P = active mass × RT At constant temperature, the pressure of the gas is proportional to its concentration (active mass), P ∝ [gas] Putting pressure terms in place of concentration in equation (1), we get K p = P c
C
P d
D
P a
A
P b
B
………………………(2)
Here, pA, pB, pC,and pD are the partial pressures of the gas A, B, C and D, respectively. Note: Activity can be used in place of concentration to describe the behavior of real solutions vs ideal solutions. The activity of a substance (abbreviated as ‘a’) describes the effective concentration of that substance in the reaction mixture. Activity takes into account the non-ideality of the reaction mixture, including solvent-solvent, solvent-solute, and solute-solute interactions. Thus, activity provides a more accurate description of how all of the particles act in solution. For very dilute solutions, the activities of the substances in the solution closely approach the formal concentration. Activities are unit less as it is a ratio that compares an effective pressure (P) or an effective concentration (C) to a standard state pressure (Pº) or concentration (Cº). There are several ways to define standard states for the different components of a solution, but a common system is the standard state for gas pressure, P°, is 1 bar (often approximated with 1 atm) the standard state for solute concentration, C°, is 1 molal (moles solute/kg solvent) for dilute solutions. Often molality is approximated with molarity (moles solute/Liter solution). the standard state for a liquid is the pure liquid the standard state for a solid is the pure solid 7.4.2 Relation between K p & K c P = active mass × RT Based on the above expression the partial pressure of the reactants and products can be expressed as, p a
A
= [A] a (RT) a
p b
B
= [B] a (RT) b
p c
C
= [C] c (RT) c
p d
D
= [D] d (RT) d
On substitution in equation (2), K p = [ C ] c ( RT ) c [ D ] d ( RT ) d
[ A ] a ( RT ) a [ B ] b ( RT ) b
K p = [ C ] c [ D ] d ( RT ) c+d
[ A ] a [ B ] b ( RT ) a+b
K p = [ C ] c [ D ] d
[ A ] a [ B ] b
( RT ) ( c+d ) - ( a+b ) ………….(3)
By comparing equations 1 and 3, we get K p = K c (RT) Δn g Here, Δn g is the difference between the sum of number of moles of gaseous products and the sum of number of moles of gaseous reactants. Some examples are shown below. Example 1: N 2 (g) +O 2 (g) ⇌ 2NO(g) Here, Δn g = 2-1-1 = 0, K p = K c (RT) 0 = K c Example 2: 2NH 3 (g) ⇌ N 2 (g) + 3H 2 (g) Here, Δn g = (1+3) – 2 = 2, Δn g Example 3: 2SO 2 (g) + O 2 (g) ⇌ 2SO 3 (g) PCl 3 (g) + Cl 2 (g) Here, Δn g = 2 – (2+1) = -1, Δn g is -ve K p < K c 7.4.3 Homogeneous Equilibrium The equilibrium in which all the substances involved exist in a single homogeneous phase is called homogeneous equilibrium. In homogeneous reaction, the states of matter of the products and reactions are all the same ("homo" means "same"). In most cases, the solvent determines the state of matter for the overall reaction. Some examples are N 2 (g) + 3H 2 (g) ⇌ 2NH 3 (g) NH 3 (aq) + H 2 O (l) ⇌ 2NH 4 + (aq) + HO- (aq) CH 3 COOC 2 H 5 (aq) + H 2 O (l) ⇌ CH 3 COOH (aq) + C 2 H 5 OH (aq) 7.4.4 Heterogeneous Equilibrium The equilibrium in which the substances involved are present in different phases is called heterogeneous equilibrium. In heterogeneous reaction, one or more states within the reaction differ ("heteros" means "different"). Some examples are CaCO 3 (s) + H 2 O (l) + CO 2 (g) ⇌ Ca 2+ (aq) + 2HCO 3 – (aq) (NH 4 ) 2 CO 3 (s) ⇌ 2NH 3 (g) + CO 2 (g) + H 2 O (g) 2Mg (s) + O 2 (g) ⇌ 2MgO (s) Heterogeneous equilibria often involve pure solids or liquids. When pure solids or pure liquids are involved in equilibrium, its concentration remains constant no matter how much of it is present. Therefore by convention, the concentrations of all solids involved in equilibrium are taken as unity. Concentration of a solid (C) = (No.of moles)/volume C = ( Given mass / Molar mass )
volume
= ( W / M )
V
= 1
M
. W
V
= 1
M
.d
Now, for pure solids and pure liquids, the molar mass M and density d are constant. Hence the concentration remains constant. For equilibria in the aqueous medium, the concentration of solvent (water) will not change appreciably because it is present in large excess. Hence by convention, the concentration of solvent (water) is taken as unity. Hence in general, pure liquids, pure solids, and solvents can be ignored while writing the equilibrium constant expression. K c and K p values of some reactions are shown below.
Reaction K c K p
CO 2 (g) + H 2 O(l) ⇌ H+ (aq) + HCO 3 – (aq) [ H + ( aq ) ] [ HCO 3 - ( aq ) ]
[ CO 2 ( g ) ]
1
[ CO 2 ( g ) ]
2SO 2 (g) + O 2 (g) ⇌ 2SO 3 (g) [ SO 3 ( g ) ] 2
[ SO 2 ( g ) ] 2 [ O 2 ( g ) ]
P 2
SO 3
P 2
SO 2
x P 2
O 2
Ag 2 O (s) + 2NH 3 (aq) ⇌ 2AgNO 3 (aq) + H 2 O (l) [ AgNO 3 ( aq ) ] 2
[ NH 3 ( aq ) ] 2
-
7.4.5 Characteristics of Equilibrium Constant  It has a definite value for every chemical reaction at a particular temperature.  The equilibrium constant is the ratio of the concentrations raised to the stoichiometric coefficients. Therefore, the unit of K c and K p are [moles.L -1 ] △n and [atm] △n respectively, where, ∆n = (sum of stoichiometric coefficients of products – sum of stoichiometric coefficients of reactants).  The expression for it may contain the concentrations of gases or molecules and ions in solution but not of pure solids or pure liquids.  A catalyst changes the rate of forward and backward reactions equally, not to affect the value of the equilibrium constant.  Changes in concentration, pressure, temperature, and inert gases may affect the equilibrium, favouring either forward or backward reaction but not the equilibrium constant.  If equilibrium constant is greater than 1, then equilibrium favors products and if equilibrium constant is less than 1, then equilibrium favors the reactants. Note: Different disciplines and different textbooks treat units of equilibrium constant differently, and we have to be very careful to figure out what their conventions are. Often, the conventions change within a textbook, and often, this is not stated explicitly. To make equilibrium constant dimensionless is to use activities (vide supra 7.4.1 note)). When that is not possible, we can get dimensionless concentrations by dividing the concentration with the respective standard state (given in the same dimension) so that dimensions cancel out. The common standard state for solutes is a concentration of 1 M, whereas the common standard state for solvents is the pure liquid (that’s why we usually leave out the solvent from an equilibrium expression). Unless we are using activities, all calculations are based on the assumptions that we are working with infinitely diluted solutions. For rest of the chapters, we will consider equilibrium constant as dimensionless. Relations between equilibrium constants for some reversible reactions are shown below.
Reversible reaction Equilibrium constant
Forward reaction aA + bB ⇌ cC + dD K c
Backward reaction cC + dD ⇌ aA + bB 1/K c
naA + nbB ⇌ ncC + ndD K n
c
K 1 K 2 A ⇌ B B ⇌ C K 3 K 4 C ⇌ D A ⇌ D K 4 = K 1 K 2 K 3
7.5 Application of Equilibrium Constant The knowledge of equilibrium constant helps us to  predict the extent of the reaction  predict the direction in which the net reaction will take place  calculate the equilibrium concentrations of the reactants and products It is to be noted that these constants do not provide any information regarding the rates of the forward or reverse reactions. 7.5.1 Predicting the Extent of a reaction The magnitude of the K c tells us about the extent in which the reactants are converted into the products before the equilibrium is attained. A larger value of K indicates that the extent of reactants converting into products is greater. The generalization is If K c > 10 3 , products predominate the reactants, i.e. the concentration of products is very high compared to that of reactants at equilibrium and the reaction proceeds nearly to completion. Examples – H 2 (g) + Cl 2 (g) ⇌ 2HCl (g) ……………K c = 4.0 × 10 31 at 300 K 2CO (g) + O 2 (g) ⇌ 2CO 2 (g) ……………K c = 2.2 × 10 22 at 1000 K If K c < 10 -3 , reactants predominate the products, i.e. the concentration of products is very less compared to that of reactants at equilibrium and the reaction hardly proceeds. Examples – N 2 (g) + O 2 (g) ⇌ 2NO (g)…………..K c = 4.8 × 10 -31 at 298 K 2H 2 O (g) ⇌ 2H 2 (g) + O 2 (g) ……….K c = 4.1 × 10 -48 at 500 K If 10 -3 < K c < 103, appreciable concentrations of both the reactants and products are present at equilibrium. Examples – H 2 (g) + I 2 (g) ⇌ 2HI (g) ……………K c = 50.0 at 721 K N2O 4 (g) ⇌ 2NO 2 (g) ………………K c = 4.64 × 10 -3 at 298 K
7.5.2 Predicting the Direction of a reaction The equilibrium constant helps in predicting the direction in which a given reaction will proceed at any stage. For this purpose, we need to calculate the reaction quotient Q (Q c with molar concentrations and Q p with partial pressures) which is defined in the same way as the equilibrium constant K c except that the concentrations terms in Q c or partial pressure terms in Q p may or may not be equilibrium values. For a general reaction: aA + bB ⇌ cC + dD As the reaction proceeds, there is a continuous change in the concentration of reactants and products and also the Q value until the reaction reaches the equilibrium. At equilibrium Q is equal to K at a particular temperature. Once the equilibrium is attained, there is no change in the Q value. By knowing the Q value, we can predict the direction of the reaction by comparing it with K. If Q = K, the reaction is already at equilibrium, and no further change in the composition of the system will occur unless the conditions are changed. If Q > K, the reaction will proceed in the reverse direction i.e., formation of reactants. If Q < K, the reaction will proceed in the forward direction i.e., formation of products.
Example 1 The value of K c for the following reaction at 721 K is 50. H 2 (g) + I 2 (g) ⇌ 2HI (g) At a particular instant, the concentration of H 2 , I 2 and HI are found to be 0.2 mol L -1 , 0.2 mol L -1 and 0.6 mol L -1 respectively. From the above information we can predict the direction of reaction as follows. Q = [ HI ] 2
[ H 2 ] [ I 2 ]
= 0.6x0.6
0.2x0.2
=9
Since Q< K c , the reaction will proceed in the forward direction. Example 2 The value of K c for the reaction N 2 O 4 (g) ⇌ 2NO 2 (g) K c = 0.21 at 373 K. The concentrations N 2 O 4 and NO 2 are found to be 0.125 mol dm -3 and 0.5 mol dm -3 respectively at a given time. From the above information we can predict the direction of reaction as follows. Q = [ NO 2 ] 2
[ N 2 O 2 ]
= 0.5x0.5
0.125
= 2
Since Q > K c , the reaction will proceed in the reverse direction until the Q value reaches 0.21 7.5.3 Calculating Equilibrium Concentrations If the equilibrium concentrations of reactants and products are known for a reaction, then the equilibrium constant can be calculated and vice versa. Let us consider the formation of HI in which, ‘a’ moles of hydrogen and ‘b’ moles of iodine gas are allowed to react in a container of volume V. Let ‘x’ moles of each of H 2 and I 2 react together to form 2x moles of HI. H 2 (g) + I 2 (g) ⇌ 2HI (g)
H 2 I 2 HI
Initial no. of moles a b 0
No. of moles reacted x x 0
No. of moles at equilibrium a-x b-x 2x
Molar concentration at equilibrium (a-x)/V (b-x)/V 2x/V
Applying law of mass action, K c = [ HI ] 2
[ H 2 ] [ I 2 ]
= ( 2x
V
) 2
( a-x
V
) ( b-x
V
)
= 4x 2
( a - x ) ( b - x )
The equilibrium constant K p can also be calculated as follows: We know the relationship between the K c and K p K p = K c (RT) ∆n g Here, Δn g = 2-2 =0 and hence K p = K c 7.6 Temperature dependence of Equilibrium constant (K): Van’t Hoff equation Van’t Hoff equation gives the quantitative temperature dependence of equilibrium constant (K). The relation between standard free energy change (ΔG°) and equilibrium constant is ΔGº = -RTLnK We know that ΔGº = ΔHº - TΔSº So, ΔHº - TΔSº = -RTlnK Rearranging lnK = -
RT
+
R
……….(4)
ΔHº is the enthalpy change and R is the universal gas constant. Therefore, a plot of the natural logarithm of the equilibrium constant versus the reciprocal of temperature gives a straight line. The slope of the line is equal to ±ΔHº/R (depending on exothermic or endothermic reaction) and the intercept is equal to ΔSº/R.
Differentiation of equation (4) with respect to temperature yields the Van’t Hoff equation. d ( lnK )
dT
=
RT 2
………(5)
Equation (5) is known as differential form of van’t Hoff equation. If the enthalpy change of reaction is assumed to be constant with temperature, the definite integral of this differential equation (5) between absolute temperatures T 1 and T 2 is given by k 2
k 1
d ( lnK ) = ΔHº
R
T 2
T 1
dT
T 2
Here, K 1 and K 2 are the equilibrium constants at temperatures T 1 and T 2 respectively. Equation (6) is known as integrated form of van’t Hoff equation. 7.7 Factors Affecting Chemical Equilibrium: Le-Chatelier’s Principle One of the principal goals of chemical synthesis is to maximise the conversion of the reactants to products while minimizing the expenditure of energy. Many chemical reactions that have industrial importance such as synthesis of ammonia are reversible in nature. It is important to know the reaction conditions to produce maximum yield. Chemists use various strategies to increase the yield of the desired products of reactions but to understand that we have to know the factors that affect equilibrium. If a system at equilibrium is disturbed by modifying the reaction conditions, then the system adjusts itself to the new conditions to re-establish the equilibrium. The effect of change in reaction conditions such as temperature, pressure and concentration etc. on a system at equilibrium can be predicted by Le Chatelier’s principle. It states that “a change in any of the factors that determine the equilibrium conditions of a system will cause the system to change in such a way so as to reduce or to counteract the effect of the change.” This is applicable to all physical and chemical equilibria. 7.7.1 Effect of the change of Concentration At equilibrium, the concentration of the reactants and the products are fixed. The addition or removal of more reactants or products to the reacting system at equilibrium causes an increase or decrease respectively in their respective concentrations. The only thing that changes equilibrium constant is a change of temperature. Hence, in this case, the position of equilibrium is changed only if we change the concentration of something present in the mixture. According to Le Chatelier’s Principle; under this condition, the position of equilibrium or composition of the equilibrium mixture moves in such a way as to minimize the effect of the change that we have made. Suppose, for the following reaction equilibrium is already established between four substances A, B, C and D. A + 2B ⇌ C + D The equilibrium constant Kc for this reaction is
If the concentration of C is decreased, the numerator of expression of the K c gets smaller. That would change the value of K c and in order for that not to happen, the concentrations of C and D will have to increase again and that is possible if more of A and B react with each other (A and B must decrease) and produce more of C and D. This will continue until a new balance is reached when the value of the equilibrium constant expression changed back to its original value. In other words, the amount of each substance is different but the ratio of the amount of each remains the same. The composition of the equilibrium mixture changes because of the need to keep a constant value for K c . Everyday Life Examples to explain the effect of the change of concentration on the equilibrium: 1) We know that clothes dry quicker when there is a breeze. Due to breeze or by shaking clothes in the air, the water vapours in the nearby air are removed or carried away. To establish the equilibrium the water from wet clothes starts evaporating. Thus they get dried fast. 2) Haemoglobin is a protein present in red blood corpuscles which act as an oxygen carrier. The equilibrium is represented as Hb (s) + O 2 (g) ⇌ Hb O 2 (s) In lungs, there is an equilibrium of this reaction, when HbO 2 (oxyhaemoglobin) reaches the site of tissues where the partial pressure of O 2 is low. Now, the equilibrium adjusts itself by shifting towards the left by releasing O 2 from HbO 2 . When the blood returns back to the lungs, where the partial pressure of O 2 is higher, more HbO 2 is formed. In this way, transfer of oxygen by haemoglobin (Hb) in the blood takes place. 7.7.2 Effect of the change of Pressure The change in pressure has significant effect only on equilibrium systems with gaseous components. When the pressure on the system is increased, the volume decreases proportionately and the system responds by shifting the equilibrium in a direction that has fewer moles of gaseous molecules. Let us consider the synthesis of ammonia from nitrogen and hydrogen. N 2 (g) + 3H 2 (g) ⇌ 2NH 3 (g) Let the system be allowed to attain equilibrium in a cylinder with a piston. If we press the piston down to increase the pressure, the volume decreases. Now, there are four and three moles of gases in the left hand side (higher volume side) and right hand side (lower volume side) respectively. The system responds to this effect by reducing the number of gas molecules, i.e. it favours the formation of ammonia (lower volume side). If we pull the piston upwards to reduce the pressure, the volume increases and then it favours the decomposition of ammonia (higher volume side). However, if there is the same number of moles on each side of the equation, then a change of pressure makes no difference to the position of equilibrium. Let us consider the following reaction. H 2 (g) + I 2 (g) ⇌ 2HI (g) Here, the number of moles of reactants and products are equal. So, the pressure has no effect on such equilibrium. 7.7.3 Effect of the Inert gas addition We have to consider two conditions while understanding the effect of addition of inert gas: at constant volume and at constant pressure. Constant volume: If inert gas is added under this condition then the total pressure increases but there is no change in the partial pressures or concentration of reactants and products and there is no effect on the equilibrium. Constant pressure: If inert gas is added under this condition then there is an increase in volume and decrease in concentration. Hence, the equilibrium shifts toward that direction in which there is higher number of moles of gases. Consider the following reaction in equilibrium: 2SO 2 (g) + O 2 (g) ⇌ 2SO 3 (g) The addition of an inert gas at constant pressure to the above reaction will shift the equilibrium towards the backward direction because the number of moles of gases is more in the reactant side. Another example, where number of gases is higher toward forward direction is shown below. In this case, addition of inert gas at constant pressure will shift the equilibrium towards forward direction. PCl 5 (g) ⇌ PCl 3 (g) + Cl 2 (g) If there is same number of moles of gases both side then addition of inert gas at constant pressure will not have any effect on equilibrium. 7.7.4 Effect of the change of Temperature When equilibrium is disturbed by a change in the concentration, pressure or volume; the composition of the equilibrium mixture changes to cause a change in the equilibrium concentration so that the equilibrium constant remains the same. However, when a change in temperature occurs, the value of equilibrium constant itself is changed. Let us consider the following reaction. In this equilibrium, the forward reaction is exothermic (ΔH = negative) i.e. heat is liberated while the reverse reaction is endothermic (ΔH = positive) i.e. heat is absorbed. H 2 (g) + I 2 (g) ⇌ 2HI (g) ΔH = -10.4 kJ/mole (forward reaction) The equilibrium constant values (K p values as gaseous reaction) for this reaction at temperatures 500 K and 700 K are 160 and 54 respectively. So, it is clear that as the temperature increases, the value of K p falls and reverse reaction will occur more. This is typical of what happens with any equilibrium where the forward reaction is exothermic. If the forward reaction is endothermic, increasing the temperature increases the value of the equilibrium constant. The position of equilibrium also changes with change in temperature according to Le Chatelier’s principle. If, temperature is increased, the position of equilibrium will move in such a way as to reduce the temperature again and it is possible by favouring the reaction which absorbs heat (backward reaction). Less hydrogen iodide (HI) will be formed, and the equilibrium mixture will contain more unreacted H 2 and I 2 . That is entirely consistent with a fall in the value of the equilibrium constant. The same explanation can also be given by considering Van’t Hoff equation (vide supra 7.6) which shows how the equilibrium constant changes with the change in temperature. 7.7.5 Effect of the Catalyst addition The catalyst is a substance which increases or decreases the rate of a reaction without taking part in the chemical reaction. In a reversible reaction at equilibrium, catalyst affects the rate of both forward reaction and backward reaction by the same extent. Hence, catalyst at equilibrium does not affect chemical equilibrium. For example, in the synthesis of NH 3 by the Haber’s process iron is used as a catalyst. Similarly, in the contact process of manufacturing SO 3 , platinum or V 2 O 5 is used as a catalyst. 7.8 Application of Le-Chatelier’s Principle We can use Le Chatelier’s principle to increase the profits and yields of many industrial reversible reactions by looking at the effect of changing conditions on the position of equilibrium. 7.8.1 Manufacture of ammonia in Haber’s process In Haber’s process, the ammonia is synthesized by combining pure nitrogen and hydrogen gases in 1:3 ratios in presence of finely powdered iron catalyst and molybdenum promoter at around 773 K and at about 200 atm of pressure. N 2 (g) + 3H 2 (g) ⇌ 2NH 3 (g) ΔH = -92.2 kJ/mol The Le Chatelier’s principle helps in selecting these conditions to improve the yields of ammonia as explained below. Effect of pressure: In the forward reaction, the number of moles of gaseous components is decreasing. i.e., Δn g = (2) - (1+3) = -2 Hence the synthesis of ammonia is favored by increasing the pressure of the system. Industrially, 100 - 250 atm of pressure is employed. Effect of temperature: Since the forward reaction is exothermic, the increase in temperature favours the backward reaction i.e., the dissociation of ammonia. That means according to Le Chatelier’s principle, the synthesis of ammonia is favoured at lower temperatures. However the reaction will be too slow at lower temperatures (a kinetic restriction). Hence this reaction is carried out at optimal temperatures i.e., at about 723-823 K to overcome the kinetic barrier. Catalyst: To increase the speed of the reaction, finely powdered or porous iron is used as catalyst with a small amount of molybdenum or potassium oxide (K 2 O) and aluminium oxide (Al 2 O 3 ) as promoter. Removal of ammonia: The forward reaction can also be favoured by removing ammonia from the system from time to time by liquefying it. 7.8.2 Manufacture of sulphuric acid by Contact process The contact process for the manufacture of sulphuric acid involves three steps. 1) Burning of sulfur or sulfide ores (pyrite) in an excess of air S (s) + O 2 (g) SO 2 (g) 4FeS2 (s) + 11O2 (g) 2Fe2O3 (s) + 8SO2 (g) In either case, an excess of air is used so that the sulfur dioxide produced is already mixed with oxygen for the next stage. 2) Conversion of SO 2 to SO 3 This step is the crucial step which is exothermic and reversible. 2SO 2 (g) + O 2 (g) ⇌ 2SO 3 (g) ΔH = −196kJ/mol 3) Converting sulfur trioxide into sulfuric acid H 2 SO 4 (l) + SO 3 (g) → H 2 S 2 O 7 (l) H 2 S 2 O 7 (l) + H 2 O (l) → 2H 2 SO 4 (l) At normal conditions, for the second step (crucial) the equilibrium lies far to the left and the amount of SO 3 formed is very small. To improve the yield of SO 3 , following conditions are chosen by applying Le Chatelier’s principle. Effect of pressure: In the forward reaction (second step), the number of moles of gaseous components is decreasing, i.e., Δn g = (2) - (2+1) = -1. Hence the forward reaction is favoured by increasing the pressure of the system. However, at high pressures, the iron towers used in the contact process are corroded. Hence the process is carried out at optimal pressures around 1-2 atm. Effect of temperature: Since the forward reaction is exothermic, at higher temperatures the backward reaction i.e., the dissociation of SO 3 is more favoured. However the reaction will be too slow at lower temperatures. Hence this reaction is carried out at optimal temperatures i.e., around 450ºC. Catalyst: To increase the speed of the reaction, V 2 O 5 or platinum is used as catalysts. 7.9 Ionic Equilibria Equilibrium involving ions in aqueous solution is called ionic equilibrium. Michael Faraday classified the substances into two categories based on their ability to conduct electricity. One category of substances conducts electricity in their aqueous solutions (electrolytes) while the other do not (non-electrolyte). Faraday further classified electrolytes as strong and weak. Acids, bases and salts come under the category of electrolytes. Electrolytes: Chemical substances which can conduct electricity in their aqueous stare or in molten state are called electrolytes. The conduction of current through electrolyte is due to the movement of ions. Strong Electrolytes: Electrolytes which dissociate almost completely into constituent ions in aqueous solution are known as strong electrolytes. Examples are all salts (except HgCl 2 , CdBr2), mineral acids like HCl, H 2 SO 4 , HNO 3 etc. and bases like NaOH, KOH, etc. Weak Electrolytes: Electrolytes which dissociate to a lesser extent in aqueous solution are called weak electrolyte. Examples are all organic acids (except sulfonic acids), and bases like NH 3 , NH 4 OH, amines, etc. 7.10 Acids, Bases and Salts Acids, bases and salts find widespread occurrence in nature. Hydrochloric acid present in the gastric juice is secreted by the lining of our stomach in a significant amount (1.2-1.5 L/day) and is essential for digestive processes. The main constituent of vinegar is acetic acid. Tartaric acid is found in tamarind. Acid tastes sour, turns the blue litmus to red and reacts with metals such as zinc and produces hydrogen gas. A common example of a base is washing soda used for washing purposes. When acids and bases are mixed in the right proportion they react with each other to give salts. Some commonly known examples of salts are sodium chloride, barium sulphate, and sodium nitrate. The term ‘acid’ is derived from the Latin word ‘acidus’ which means sour. Similarly base tastes bitter and turns the red litmus to blue. These classical concepts are not adequate to explain the complete behaviour of acids and bases. So, the scientists developed the acid-base concept based on their behaviour. The concepts were developed by scientists Arrhenius, Bronsted and Lowry and Lewis to describe the properties of acids and bases. 7.10.1 Arrhenius Theory One of the earliest theories about acids and bases was proposed by Swedish chemist Svante Arrhenius. According to him, an acid is a substance that dissociates to give hydrogen ions (H+) in water. For example; HCl, HNO 3 , H 2 SO 4 etc. are acids. Their dissociation in aqueous solution is expressed as HCl ⇌ H + + Cl - H 2 SO 4 ⇌ 2H + + SO 4 2- The H + ion in aqueous solution is highly hydrated and usually represented as H 3 O + known as hydronium ion. Both H + and H 3 O + are used to mean the same. Similarly a base is a substance that dissociates to give hydroxyl ions (HO - ) in water. For example, substances like NaOH, Ba(OH) 2 , Ca(OH) 2 etc. are bases. Their dissociation in aqueous solution is expressed as NaOH ⇌ Na + + HO - Ba(OH) 2 ⇌ Ba 2+ + 2HO - Limitations of Arrhenius theory This theory does not explain the behaviour of acids and bases in non-aqueous solvents such as acetone, sulphur dioxide, alcohol, etc. This theory does not account for the basicity of the substances like ammonia (NH 3 ), sodium carbonate (Na 2 CO 3 ) which do not possess hydroxyl (HO - ) group and acidity of substances like CO 2 , SO 2 , NO 2 , etc. that do not contain H + ion. 7.10.2 Bronsted-Lowry Theory (Proton Theory) Lowry and Bronsted suggested a more general definition of acids and bases. According to their concept, an acid is defined as a substance (molecule or ion) that has a tendency to donate a proton to another substance and base is a substance (molecule or ion) that has a tendency to accept a proton from other substance. In other words, an acid is a proton donor and a base is a proton acceptor. In accordance with this broader definition, some examples of acids and bases are Molecular acid: HF, H 2 SO 4 , CH 3 COOH, H 2 O, H 3 PO 3 , etc. Ionic acids: H 3 O+, NH 4+ , HSO 4- , etc. Molecular bases: RNH 2 , NH 3 , H 2 O etc. Ionic bases: HO - , S 2- , CO 3 2- , NO 3- etc. It is important to note that no single substance is an acid or a base as a single substance cannot donate a proton until and unless some other substance which accepts the proton is also present. Proton donar (acid) + Proton acceptor (Base)  Proton donar (acid) + Proton acceptor (Base) When hydrogen chloride is dissolved in water, it donates a proton to the later. Thus, HCl behaves as an acid and H 2 O is base. HCl + H 2 O H 3 O + + Cl - When ammonia is dissolved in water, it accepts a proton from water. In this case, NH3 acts as a base and H 2 O is acid. H 2 O + NH 3 NH 4+ + HO - So, water is acid with respect to NH 3 and it is a base with respect to HCl. Such substances (H 2 O, HCO 3- , HSO 4- , etc.) which can act as acid (proton donor) as well as base (proton acceptor) are called amphoteric or amphiprotic substances. Conjugate acid-base pairs When an acid loses a proton, the residual part of it will have a tendency to accept a proton leading to its behaviour like a base. Such pairs of substances, which differ from one another by a proton, are known as conjugate acid-base pairs. If Brönsted acid is a strong acid then its conjugate base is a weak base and vice versa.
Limitations of Bronsted-Lowry theory Substances like BF 3 , AlCl 3 etc., that do not donate protons are known to behave as acids. 7.10.3 Lewis theory of Acids and bases Gilbert. N. Lewis proposed a more generalised concept of acids and bases. He considered an electron pair to define a species as an acid (or) a base. According to this concept, an acid is a species (molecule or ion) that accepts an electron pair while base is a species (molecule or ion) that donates an electron pair. In other words, a substance which has vacant orbital to accept one or more pairs of electrons can act as a Lewis acid. A base is consequently any substance with unshared pair of electrons, can behave as a Lewis base. So, a Lewis acid is a positive ion (or) an electron deficient molecule and a Lewis base is an anion (or) neutral molecule with at least one lone pair of electrons. Let us consider the reaction between ammonia (NH 3 ) and boron trifluoride (BF 3 ). Here, B has a vacant 2p orbital to accept the lone pair of electrons donated by NH3 to form a new coordinate covalent bond or adduct. In coordination compounds, the ligands act as a Lewis base and the central metal atom or ion that accepts a pair of electrons from the ligand behaves as a Lewis acid.
Some examples of Lewis acids and Lewis bases are given below. Lewis acids Electron deficient molecules such as BF 3 , AlCl 3 , BeF 2 etc. All metal ions such as Fe 2+ , Fe 3+ , Cr 3+ , Cu 2+ , etc. Molecules that contain a polar double bond (polarization leads to partial positive and negative charge) such as SO 2 , CO2, SO 3 etc. Molecules in which the central atom can expand its octet due to the availability of empty d-orbitals such as SiF 4 , SF 4 , FeCl 3 etc. Carbocation (CH 3 ) 3 C + Lewis bases Molecules with one or more lone pairs of electrons such as NH 3 , H 2 O, ROH, ROR, RNH 2 All anions such as F - , Cl - , CN - , SCN - , SO 4 2- etc. Molecules that contain carbon-carbon multiple bond such as CH 2 =CH 2 , CH≡CH etc. All metal oxides such as CaO, MgO, Na 2 O, etc. Carbanion (CH 3- ) Limitations of Lewis theory Though Lewis concept of acids and bases is more general than Arrhenius as well as Bronsted-Lowry concepts, yet it has several drawbacks which are discussed below: Lewis concept gives the general idea and includes all the coordination compounds but this may not be true always. The formation of a coordination compound is a slow process, but the acid-base reaction is a fast process. This behaviour cannot be explained on the basis of the Lewis concept. Lewis concept does not explain the behaviour of well-known protonic acids like HCl, H 2 SO 4 , etc. which does not form coordination bonds with bases. Therefore, according to Lewis, these are not regarded as acids. Relative strengths of acids and bases are not explained by Lewis. Lewis concept does not fit in the acid-base reaction concept. 7.10.4 Strength of Acids and Bases Generally we classify the acids or bases either as strong or weak. A strong acid is the one that is almost completely dissociated in water while a weak acid is only partially dissociated in water. Hydrogen chloride (HCl) ionizes completely into H + ions and Cl - ions in water. HCl (g) → H + (aq) + Cl - (aq) Acetic acid (found in vinegar) is a very common weak acid. Its ionization is shown below. CH 3 COOH (aq) ⇌ H + (aq) + CH 3 COO - (aq) The ionization of acetic acid is incomplete, and so the equation is shown with a double arrow. The extent of ionization of weak acids varies, but is generally less than 10%. The conjugate base of a strong acid is a weak base and vice versa. Let us quantitatively define the strength of an acid (HA) by considering the following general equilibrium. HA (aq) → H + (aq) + A - (aq) The equilibrium constant for the ionization of an acid or ionization constant (K a ) is
The numerical value of acid ionization constant (K a ) is a reflection of the strength of the acid. Acids such as HCl, HNO 3 etc. are almost completely ionised and hence they have high K a value (K a for HCl at 25ºC is 2×106). Acids such as formic acid, acetic acid (K a for acetic acid at 25ºC 1.8 ×10-5) etc. is partially ionized in solution and in such cases; there is an equilibrium between the unionised acid molecules and their dissociated ions. Generally, acids with Ka value greater than 10 are considered as strong acids and less than 1 are considered as weak acids. As strong acids are essentially 100% ionized, the concentration of the acid in the denominator is nearly zero and the K a value approaches infinity. For this reason, K a values are generally reported for weak acids only. 7.11 Ionization of Water We have already seen that when an acidic or a basic substance is dissolved in water, depending upon its nature, water molecule can either donate or accept a proton (amphoteric). Water has electrical conductivity, hence it must undergo dissociation. Dissociation of pure water to a very little extent into H + and HO - ions by itself is called auto-ionisation of water. In water, equilibrium between ions and unionised water molecule exists as, H 2 O ⇌ H + + HO - H + + H 2 O ⇌ H 3 O + The net reaction is H 2 O + H 2 O ⇌ H 3 O + + HO - H 3 O + is called the hydronium ion. In the above equation of ionisation, one water molecule acts as an acid while another water molecule acts as a base. The dissociation constant for the above ionisation is given by the following expression
Now water being a very weak electrolyte dissociates in a very small amount. Hence, practically the concentration of unionised water is almost the same as starting concentration. Hence [H 2 O] = constant and practically [H 3 O + ] = [H + ]. Therefore, equation (7) becomes K w = [H 3 O + ][HO - ] …………….(8) Here, K w represents the ionic product of water. It was experimentally found that the concentration of H 3 O + in pure water is 1×10-7 at 25ºC. Since the dissociation of water produces equal number of H 3 O + and HO - , the concentration of HO - is also equal to 1×10-7 at 25ºC. Therefore, equation (8) at 25ºC can be written as K w = [H 3 O]+[HO - ] = (1 × 10-7)(1 × 10-7) = 1 ×10-14 Like all equilibrium constants, K w  is also a constant at a particular temperature. The dissociation of water is an endothermic reaction. With the increase in temperature, the concentration of H 3 O + and HO - increases, and hence the ionic product also increases. K w values at different temperatures are shown in the table.
Temperature (ºC) K w
0 1.14 x 10-15
10 2.95 x 10-15
25 1.00 x 10-14
40 2.71 x 10-14
50 5.30 x 10-14
• When small amount of acid (for example HCl) is added to water, the concentration of H + ions increases and that of HO - ions decreases i.e. [H + ] > [HO - ] i.e. [H + +] > 1 x 10-7 • When an alkali (for example NaOH) is added to water then HO - ion concentration becomes higher than that of H + ions i.e. [HO - ] > [H + ] i.e. [HO - ] > 1 x 10-7 • In neutral solution (for example NaCl solution) H + and HO - ion concentration are equal. i.e. [H + ] = [HO - ] = 1 x 10-7 mole dm -3 • Thus concept of ionic products of water helps us in classifying aqueous solutions as acidic, basic and neutral. 7.12 The pH Scale We usually deal with acid/base solution in the concentration range 10 -1 to 10 -7 M. To express the strength of such low concentrations, Sorensen introduced a convenient logarithmic scale to express hydrogen ion (H + ) concentration to decide acidic, alkaline or neutral nature of the solution. It is known as pH scale. pH of a solution is defined as the negative logarithm of base 10 of the molar concentration of the hydronium (H 3 O + ) ions (or H + ions) present in the solution. The pH scale expresses all degrees of acidity or alkalinity of a dilute aqueous solution. pH = - log 10 [H 3 O + ] On the other hand, the concentration of H 3 O + in a solution of known pH can be calculated using the following expression. [H 3 O + ] = 10 -pH or [H 3 O + ] = antilog of (-pH) Similarly, pOH can also be defined as follows pOH = -log 10 [HO-] As discussed earlier, in neutral solutions or in case of pure water, the concentration of H 3 O + as well as HO - is equal to 1 × 10 -7 M at 25 ºC . The pH of a neutral solution can be calculated as pH = - log 10 [H 3 O + ] = - log 10 10-7 = (-7)(-1) log 10 10= +7 (1)= 7 { as log1010 = 1} Similarly, we can calculate the pOH of a neutral solution using the same expression and it is also equal to 7. The negative sign in the expression of pH indicates that when the concentration of [H 3 O + ] increases the pH value decreases. We know that in acidic solution, [H 3 O + ] > [HO - ] , i.e., [H 3 O + ] > 10 -7 . Similarly, in a basic solution, [H 3 O + ] < 10 -7 . Thus, we can summarise that • Acidic solution has pH < 7 • Basic solution has pH > 7 • Neutral solution has pH = 7 When concentration of H 3 O + > 10 -6 , we can directly use the formula pH = -log[H 3 O + ] as contribution of [H 3 O + ] from water is extremely small. When concentration of H 3 O + < 10 -6 , contribution of [H 3 O + ] from generated from water cannot be neglected and using this formula directly will not give correct results. As pH scale is logarithmic, when [H + ] changes by a factor of 10, the value of pH changes by 1 unit. The pH of a solution can be found roughly with the help of pH paper or with pH meter for more accuracy. 7.12.1 Relation between pH and pOH Ionic product of water is given by K w = [H + ] [HO - ] At 25ºC or 298 K K w = 1 x 10-14 ∴ [H + ] [HO - ] = 1 x 10 -14 Taking log both sides of the equation to the base 10 log 10 [H + ] + log 10 [HO - ] = log 10 (1 x 10 -14 ) or log 10 [H + ] + log 10 [HO - ] = -14 log 10 10 or log 10 [H + ] + log 10 [HO - ] = -14 Multiplying both sides of the equation by -1 – log 10 [H + ] – log 10 [HO - ] = 14 But pH = -log 10 [H + ] and pOH = -log 10 [OH - ] ∴ pH + pOH = 14 at 25ºC Thus the sum of pH and pOH for pure water or any aqueous solution is equal to 14. Although Kw may change with temperature the variations in pH with temperature are so small that we often ignore it. pK w is a very important quantity for aqueous solutions and controls the relative concentrations of hydrogen and hydroxyl ions as their product is a constant. 7.13 Ionisation of Weak acids and Weak bases Consider a weak acid HA that is partially ionized in the aqueous solution. The equilibrium can be expressed by:
HA (aq)    +    H 2 O (l)    ⇌    H 3 O + (aq)   +    A - (aq)
Initial concentration (M) c 0 0
Change in concentration (M) -cɑ +cɑ +cɑ
Equilibrium concentration (M) c-cɑ
Here, c = initial concentration of the undissociated acid HA at time, t = 0. ɑ = extent up to which HA is ionized into ions. M = Concentration in molarity Degree of dissociation (‘α’): The fraction of the total number of moles of an electrolyte that ionises (or dissociates) into ions in an aqueous solution at equilibrium is called as the degree of dissociation. ‘α’ = ( No . of moles dissociated at equilibrium )
( Total no . of moles present in the solution initially )
Ignoring the concentration of water (as it is present in large excess) and for simplicity considering [H 3 O + ] = [H + ], the dissociation equilibrium of the weak acid HA can be expressed as
At a given temperature T, K a is a measure of the strength of the acid HA i.e., larger the value of K a , the stronger is the acid. Like all equilibrium constants, acid-base ionization constants are actually measured in terms of the activities of H + or HO - (vide infra), thus making them unitless. In case where we are not considering activity, K a is a dimensionless quantity with the understanding that the standard state concentration of all species is 1 M. The values of the ionization constants of some weak acids at 298 K are shown in table. We can also write pK a = –log (K a ) Knowing the ionization constant, K a of an acid and its initial concentration (c), it is possible to calculate the equilibrium concentration of all species and also the degree of ionization (ɑ) of
Weak acids K a
Formic acid (HCOOH) 1.8 x 10-4
Nitrous acid (HNO 2 ) 4.5 x 10-4
Benzoic acid (PhCOOH) 6.5 x 10-5
Hydrocyanic acid (HCN) 4.9 x 10-10
the acid and the pH of the solution. Weak bases react with water to produce the hydroxide ion, as shown in the following general equation, where B is the parent base and BH + is its conjugate acid:
B (aq)    +    H 2 (l)    ⇌    BH + (aq)   +    HO - (aq)
Initial concentration (M) c 0 0
Change in concentration (M) -cɑ +cɑ +cɑ
Equilibrium concentration (M) c-cɑ
Here, c = initial concentration of the base B at time, t = 0. ɑ = degree of ionization of B, M = Concentration in molarity The dissociation equilibrium of the weak base B can be expressed as
The values of the ionization constants of some weak bases at 298 K are shown in table. The larger the value of K b , the stronger the base and the higher the HO - concentration at equilibrium. We can also write pK b = –log (K b )
Weak bases K b
Methyl amine (CH 3 NH 2 ) 4.6 x 10 -4
Ammonia (NH 3 ) 1.8 x 10 -5
Pyridine (C 5 H 5 N) 1.7 x 10 -9 -9
Aniline (PhNH 2 ) 7.4 x 10 -10
7.13.1 Ostwald’s dilution law Ostwald’s dilution law relates the dissociation constant of the weak acid (K a ) with its degree of dissociation (α) and the concentration (c). We shall derive an expression for Ostwald’s law by considering a weak acid, i.e. acetic acid (CH 3 COOH). The dissociation of acetic acid can be represented as
  CH 3 COOH (aq)  +   H 2 O (l)   ⇌   H 3 O + (aq) +  CH 3 COO - (aq)
Initial concentration (M) c 0 0
Change in concentration (M) -cɑ +cɑ +cɑ
Equilibrium concentration (M) c-cɑ +cɑ
Here, c = initial concentration of CH 3 COOH at time, t = 0. ɑ = degree of dissociation of CH 3 COOH, M = Concentration in molarity Like any weak acid, here also the dissociation equilibrium of the CH 3 COOH can be expressed as
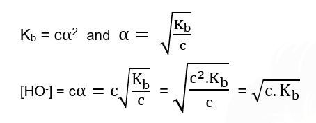
As a weak acid dissociates only to a very small extent, compared to 1, α is so small and hence in the denominator (1 - α) ∝ 1. The above expression becomes, Ka = cα2
Let us consider an acid with Ka value 4 × 10 -4 and calculate the degree of dissociation of that acid at two different concentrations 10 -2 M and 10 -4 M using the above expression For 10 -2 M
For 10 -4 M
So, when the dilution increases by 100 times, (concentration decreases from 10 -2 M to 10 -4 M), the dissociation increases by 10 times. Thus, we can conclude that, “When dilution increases, the degree of dissociation of weak electrolyte also increases”. This statement is known as Ostwald’s dilution Law. The concentration of H + (or H 3 O + ) can be calculated using the K a value as below.
Similarly for a weak base
This law fails for strong electrolytes because strong electrolytes are completely ionized at all dilution. 7.13.2 Relation between Ka and Kb There is a simple relationship between the magnitudes of K a for an acid and Kb for its conjugate base. Consider, for example, the ionization of hydrocyanic acid (HCN) in water to produce an acidic solution, and the reaction of CN - with water to produce a basic solution: HCN (aq) ⇌ H + (aq) + CN - (aq)……….(9) CN - (aq) + H 2 O (l) ⇌ HO - (aq) + HCN (aq)…………..(10) The equilibrium constant expression for the ionization of HCN is
The corresponding expression for the reaction of cyanide with water is
Adding equations (9) and (10) we get H2O (l) ⇌ H+ (aq) + HO- (aq) In this case, the sum of the reactions described by K a and K b is the equation for the autoionization of water, and the product of the two equilibrium constants is Kw given as
or K a K b = Kw……….(11) If we take negative logarithm of both sides of the equation (11), then pK values of the conjugate acid and base are related to each other as -logK a - logK b = -logK w pK a + pK b = pK w At 25°C, this becomes pK a + pK b = 14.00 7.13.3 pH indicators and their choice in Titrimetry The substances which change to specific colours in different pH range values of the medium are called as pH indicators. The common acid-base indicators are mostly weak organic acids or bases. Such compounds are useful as indicators in acid-base titrations, and finding out H + ion concentration. In acid-base titration, the concentration of an acid or base is determined by exactly neutralizing it with a standard solution of base or acid having known concentration. For example, phenolphthalein and bromothymol blue behave as weak acids and exhibit different colours in their acid (HIn) and conjugate base (In–) forms. HIn (aq) + H 2 O (l) ⇌ H 3 O + (aq) + In - (aq) Acid form Conjugate base Selection of pH indicators Every pH indicator changes its colour specifically in a particular range of pH which is called indicator range. For some of the indicators, the indicator ranges are given as below.
Indicator pH range Color in acidic medium Color in Basic medium
Methyl orange 3.1-4.4 Orange Yellow
Methyl red 4.4-6.2 Red Yellow
Phenolphthalein 8.3-10 Colorless Pink
Bromothymol blue 6.0-7.6 Yellow Blue
When a base is added to a solution of an acid, the H+ ions will be slowly neutralised by the HO ions of the base. Hence, there is a steady decrease in the H + ion concentration and pH value increases uniformly. At the end point there is a steep rise in the pH value. The pH values can be plotted against the volume of the base added and the curve so obtained is called titration curve. These curves are useful in the choice of a suitable indicator in an acid-base titration. A suitable indicator in an acid-base titration is one whose range is well within the sharp rising portion of the titration curve that is around the equivalence point. Thus the choice of a suitable indicator for any titration depends on the nature of the acid and base involved and the working range of the indicator. Titration of a strong acid against a strong base: (Example: HCl vs NaOH) In this type of titration, the change in the pH value at the end point is roughly from 4 to 10. Therefore any indicator which changes its colour within this range may be used as a suitable indicator in the titration of strong acid against strong base. Any indicator out of methyl orange, methyl red, phenolphthalein or bromothymol blue can be used to determine the endpoint. Titration of strong acid against weak base : (Example: HCl vs NH 4 OH) When a strong acid like HCl is titrated against a weak base like NH 4 OH, the pH changes from 3.5 – 6.5 at the end point. The best indicator for this type of titration is methyl orange which changes its colour within this pH range. Titration of a weak acid against a strong base: (Example: CH 3 COOH vs NaOH) When a weak acid like CH 3 COOH is titrated against a strong base like NaOH, the pH value changes from 6.5 - 10. Thus phenolphthalein is the suitable indicator for this titration as its working range is 8.3 - 10. Titration of weak acid against weak base: (Example: CH 3 COOH vs NH 4 OH) In this type of titration there is no sharp change in the pH value at the end point. Therefore, in the titration of a weak acid against a weak base none of the indicators shown in the table are quite satisfactory.
7.13.4 Di- and Polybasic Acids and Di- and Polyacidic Bases The basicity of an acid is the number of protons that can be produced by the ionization of one molecule of that acid in an aqueous solution. Acids capable of yielding more than one ionizable proton per molecule are called polybasic or polyprotic acids. The dibasic, tribasic etc. indicates the number of replaceable H + ions. Some examples of polybasic acids are sulphuric acid (H 2 SO 4 ), phosphoric acid (H 3 PO 4 ) etc. We can see that they contain more than one ionisable proton per molecule. Let us consider the following ionisation reaction of a typical polybasic acid H 2 A. H 2 A (aq) ⇋ H + (aq) + HA - (aq) HA - (aq) ⇋ H + (aq) + A2 - (aq) The corresponding equilibrium constants can be given as,
Here, K a1 and K a2 are the first and the second ionisation constants of the acid H 2 A. Similarly, for a tribasic acid there are three ionization constants: K a1 , K a2 , and K a3 . The values of the ionization constants for some common polyprotic acids are shown in Table. It can be seen that higher order ionization constants (K a2 , K a3 ) are smaller than the lower order ionization constant (K a1 ) of a polyprotic acid. The reason for this is that it is more difficult to remove a positively charged proton from a negative ion due to electrostatic forces.
Acid K a1 K a2 K a3
Oxalic acid (H 2 C 2 O 4 ) 5.9 x 10-2 6.4 x 10-5
Sulfuric acid (H 2 SO 4 ) Large 1.2 x 10-2
Carbonic acid (H 2 CO 3 ) 4.3 x 10-7 5.6 x 10-11
Phosphoric acid (H 3 PO 4 ) 7.5 x 10-3 6.2 x 10-8 4.2 x 10-13
The number of ionisable hydroxide ions (HO - ) present in one molecule of a base is called the acidity of bases. Bases capable of yielding more than one ionisable HO - ion per molecule are called polyacidic bases. Some examples are Ca(OH) 2 , Al(OH) 3 etc. 7.13.5 Common Ion Effect in the Ionization of Acids and Bases The phenomenon in which the degree of dissociation of any weak electrolyte is suppressed by adding a small amount of strong electrolyte containing a common ion is called a common ion effect. 7.13.5.1 Dissociation of a Weak Acid in presence of common ion Suppose, a weak electrolyte acetic acid (CH 3 COOH) is treated with water. It dissociates and equilibrium exists as follows, CH 3 COOH (aq) ⇌ CH 3 COO - (aq) + H + (aq) The equilibrium constant for this ionisation is
If a small amount of a strong electrolyte like sodium acetate (CH 3 COONa) is added to the aqueous solution of CH 3 COOH, it gets dissociated and equilibrium exists as CH 3 COONa (aq) → CH 3 COO - (aq) + Na + (aq) Here, CH 3 COO– ion is common and hence their concentration increases. To keep the value of K a constant, the concentration of CH 3 COOH molecules is increased. According to Le-Chatelier’s principle, equilibrium will shift towards left. In this way ionisation of CH 3 COOH is suppressed by the addition of CH 3 COONa and the pH of the solution increases. 7.13.5.2 Dissociation of a Weak base in presence of common ion Suppose an electrolyte Ammonium hydroxide (NH 4 OH) is treated with water. It dissociates and equilibrium exists as follows, NH 4 OH (aq) ⇌ NH 4 + (aq) + HO - (aq) The equilibrium constant for this ionisation is
If a small amount of a strong electrolyte like ammonium chloride (NH 4 Cl) is added to the aqueous solution of NH 4 OH, it gets dissociated and equilibrium exists, as NH 4 Cl (aq) → NH 4 + (aq) + Cl - (aq) Here, NH 4 + ion is common and hence their concentration increases. To keep the value of K b constant, the concentration of NH 4 OH molecules is increased. According to Le-Chatelier’s principle, equilibrium shifts towards the left. In this way ionisation of NH 4 OH is suppressed by adding NH 4 Cl and the pH of the solution decreases. 7.13.6 Hydrolysis of Salts & pH of the solution Salt is a compound formed by the neutralisation reaction between an acid and a base. Salts ionise in water furnishing cations and anions. These cations or anions either exist as hydrated ions in aqueous solutions or interact with water to reform corresponding acids or bases depending upon the nature of salts. The process of interaction between cations or anions of salts or both and water is known as hydrolysis of salts. As a result, the pH of the solution gets affected. The hydrolysis of different types of salts is mentioned below. i) Salts of Strong acid and Strong base: Salts formed by the neutralisation of strong acid and strong base are neutral in nature. The cations of strong bases (e.g., Na + , Ca 2+ etc.) and anions of strong acids (e.g., Cl–,NO 3- etc.) simply get hydrated but do not hydrolyse, and therefore the solutions of salts formed from strong acids and bases remains neutral (pH is 7). Therefore, such salts are generally known as neutral salts. For example: NaCl ii) Salts of Weak acid and Strong base (anionic hydrolysis): Salt formed by the neutralisation of weak acid and strong base is basic in nature. For example, sodium acetate (CH 3 COONa) dissociates as CH 3 COONa (aq) → CH 3 COO - (aq) + Na + (aq) Acetate ion (CH 3 COO - ) formed above undergoes hydrolysis to form CH 3 COOH and HO - ions. CH 3 COO - (aq) + H 2 O (l) ⇌ CH 3 COOH (aq) + HO - (aq) Acetic acid being a weak acid remains unionised in the solution. This results in an increase in the concentration of HO - ions which makes the solution alkaline. The pH of the solution is greater than 7. The pH of such solutions is given by: pH = 7 + ½pK a + ½ logC Here, K a = dissociation constant of CH 3 COOH and C = concentration of the salt. iii) Salts of Strong acid and Weak base (cationic hydrolysis): Salts formed by the neutralisation of strong acid and weak base are acidic in nature. For example, sodium chloride (NH 4 Cl) dissociates as NH 4 Cl (aq) → NH 4 + (aq) + Cl - (aq) Ammonium ion (NH 4 +) formed above undergoes hydrolysis to form ammonium hydroxide and H + ions. NH 4 + (aq) + H 2 O (l) ⇌ NH 4 OH (aq) + H + (aq) Ammonium hydroxide being a weak base remains unionised in the solution. This results in an increase in the concentration of H + ions which make the solution acidic. The pH of such solutions is less than 7. The pH of such solutions is given by: pH = 7 - ½pK b - ½ logC Here, K b = dissociation constant of NH 4 OH and C = concentration of the salt. iv) Salts of a Weak acid and Weak base (cationic & anionic hydrolysis): Salts formed by the neutralisation of weak acid and weak base are acidic, basic or neutral, depending on the nature of acids and bases involved. For example, ammonium acetate (CH 3 COONH 4 ) dissociates as CH 3 COONH 4 (aq) → CH 3 COO - (aq) + NH 4 + (aq) The cation and the anion formed above undergo hydrolysis forming weak acid and weak base both. CH 3 COO - (aq) + NH 4 + (aq) + H 2 O (l) ⇌ CH 3 COOH (aq) + NH 4 OH (aq) The nature of solution depends on the relative strengths of the acid and base produced. The degree of hydrolysis in such cases is independent of the concentration of the solution and the pH of such solutions is given by: pH = 7 + ½(pK a - pK b ) The pH of a solution can be less than 7 or greater than 7 depending on the values of pK a and pK b . 7.14 Buffer solutions Our blood maintains a constant pH, irrespective of a number of cellular acid-base reactions. Is it possible to maintain a constant hydronium ion concentration in such reactions? Yes, it is possible due to buffer action. Buffer is a solution which consists of a mixture of a weak acid and its conjugate base or a weak base and its conjugate acid. This buffer solution resists drastic changes in its pH upon addition of small quantities of acids or bases, and this ability is called buffer action. The buffer containing carbonic acid (H 2 CO 3 ) and its conjugate base HCO 3- is present in our blood. There are two types of buffer solutions. Acidic buffer: a solution containing a weak acid and its salt. Example: solution containing CH 3 COOH (weak acid) and CH 3 COONa (salt). The pH value of acidic buffer is less than 7. Basic buffer: a solution containing a weak base and its salt. Example: solution containing NH 4 OH (weak base) and NH 4 Cl (salt). The pH value of basic buffer is greater than 7. Characteristics of Buffer: It has a definite pH value. Its pH value doesn’t change on keeping for a long time Its pH value doesn’t change on dilution. Its pH value doesn’t change even with the addition of a small amount of a strong acid or a base. 7.14.1 Buffer Action The property of the solution to resist the changes in its pH value on the addition of small amounts of strong acid or base is known as buffer action. To resist changes in its pH on the addition of an acid or a base, the buffer solution should contain both acidic as well as basic components so as to neutralize the effect of added acid or base and at the same time, these components should not consume each other. Mechanism of Buffer action of acidic buffer Let us explain the buffer action in a solution containing CH 3 COOH and CH 3 COONa. In an aqueous medium, CH 3 COOH and CH 3 COONa dissociates as, CH 3 COOH (aq) ⇌ CH 3 COO - (aq) + H + (aq) (Slight ionisation) CH 3 COONa (aq) → CH 3 COO - aq) + Na + (aq) (Complete ionisation) If a strong acid like HCI is added to the buffer solution, the additional H + ions combine with the acetate ions in the solution to produce undissociated CH3COOH i.e, the increase in the concentration of H + does not reduce the pH significantly. H + (aq) + CH 3 COO– (aq) → CH 3 COOH (aq) If strong base like NaOH is added to the buffer solution, additional HO - ions combine with CH 3 COOH as HO - (aq) + CH 3 COOH (aq) → CH 3 COO - (aq) + H 2 O Since additional HO - ions of the base are consumed or neutralized, the increase in the concentration of HO - does not increase the pH significantly. Mechanism of Buffer action of basic buffer Let us explain the buffer action in a solution containing NH 4 OH and NH 4 Cl. In an aqueous medium, NH 4 OH and NH 4 Cl dissociates as, NH 4 OH (aq) ⇌ NH 4 + (aq) + HO - (aq) (Slight ionisation) NH 4 Cl (aq) → NH 4 + (aq) + Cl - (aq) (Complete ionisation) If a strong acid like HCI is added to the buffer solution, additional H + ions of acid combine with NH 4 OH, to produce ammonium ions and water. H + (aq) + NH 4 OH (aq) → NH4 + (aq) + H 2 O Since additional H + ions of acid are consumed (neutralized), the pH of the solution remains unchanged. If a strong base like NaOH is added to the buffer solution, additional HO - ions of the base combine with NH 4 + ions to produce undissociated NH 4 OH molecules. HO - (aq) + NH 4 + (aq) → NH 4 OH (aq) Since additional HO - ions of the base are consumed (neutralized) pH of the solution remains unchanged. 7.14.2 pH of a Buffer Solution pH of a buffer solution is calculated by applying the Henderson-Hasselbalch equation. Let us consider an acidic buffer consisting of weak acid HA and its salt MA (M = metal). Consider dissociation of the acid and salt. HA (aq) + H 2 O (l) ⇌ H 3 O+ (aq) + A - (aq) (Slight ionisation) MA (aq) → M + (aq) + A - (aq) (Complete ionisation) The dissociation constant of the weak acid is expressed as
As the salt MA is completely dissociated, [A–] = [MA] = [Salt] and [HA] = [Acid]. So, equation (12) can be written as
Taking logarithm both side
Similarly for basic buffer
7.15 Solubility equilibria of sparingly soluble salts Some ionic solids are highly soluble in water while others are almost insoluble in it. The solubility of ionic solid depends on lattice enthalpy of the salt and hydration enthalpy of the ions in solution. The lattice enthalpy of salt is defined as the energy required to overcome the attractive forces between the ions. The hydration enthalpy (when solvent is water) or solvation enthalpy is the energy released during the interaction between the ions and solvent molecules. If salt is to be dissolved then its solvation enthalpy should be greater than its lattice enthalpy. The concentration of a substance in its saturated solution is called as its solubility (denoted by letter ‘S’) at a given temperature. It is expressed as grams per litre or as moles per litre at a given temperature. Each salt has its characteristic solubility which depends on temperature. Salts can be classified on the basis of their solubility in the following three types.
Type I Soluble Solubility > 0.1 M Example - NaCl
Type II Slightly soluble 0.01 M < Solubility < 0.1 M Example – Ca 3 (PO 4 ) 2
Type III Sparingly soluble Solubility < 0.01 M Example - AgCl
7.15.1 Solubility product Sparingly soluble salts like AgCl, PbSO4, BaSO4 etc. have negligible solubility in water at ordinary temperature. Such substances are practically insoluble in water. The amount of such salts getting dissolved is so small that their saturated solution may be regarded as extremely dilute. We shall now consider the equilibrium between the sparingly soluble ionic salt and its saturated aqueous solution. A solid salt of the general formula A m+
x
B n-
y
in equilibrium with its saturated solution may be represented by the equation:
A x B y (s) ⇌ xA m+ (aq) + yB n- (aq) where x.m + = y.n- The equilibrium constant for this reaction is
The salt A x B y dissociates to produce x number of cations A m+ and y number of anions B n- . If the molar solubility of A x B y is S, then it can be seen from the stoichiometry of the salt that [Am+] = xS and [B n- ] = yS Equation (13) can be written as
In a saturated solution of a sparingly soluble salt, the product of molar concentration of ions, each raised to the power of its stoichiometric coefficient in a balanced equilibrium equation is constant at a given temperature. This constant K sp is called a solubility product. Some types of salts along with their expressions of K sp are shown in table.
Salt type K sp Examples
AB S.S = S 2 AgCl
A 2 B (2S) 2 .S = 4s 3 Ag 2 SO 4
AB 3 4 S.(3S) 3 = 27s 4 Al(OH) 3
A 3 B 4  (3S) 3 .(4S) 4 = 6912s 7 Zr 3 (PO 4 ) 4
S = Molar solubility of the salts in each case The term K sp in equation (14) is given by Q sp (ionic product) when the concentration of one or more species is not the concentration under equilibrium. Only under equilibrium conditions K sp = Q sp but otherwise it gives the direction of the processes of precipitation or dissolution. In general we can summarise as,  Q sp > K sp , precipitation will occur and the solution is super saturated.  Q sp < K sp , no precipitation and the solution is unsaturated.  Q sp = K sp , equilibrium exist and the solution is saturated. The solubility product constants of some sparingly soluble salts at 298 K are shown in table.
Salt K sp
Aluminium hydroxide,  Al(OH) 3 1.3 x 10 -33
Barium sulphate, BaSO 4 1.1 x 10 -10
Manganese sulphide,  MnS 2.5 x 10 -13
Mercurous iodide, Hg 2 I 2 4.5 x 10 -29
7.15.2 Common ion effect in Solubility product The common ion effect is an effect that suppresses the ionization of an electrolyte when another electrolyte containing an ion which is also present in the first electrolyte, i.e. a common ion, is added. It is considered to be a consequence of Le Chatelier’s principle or the Equilibrium Law. As an example, in a saturated solution of calcium sulphate (CaSO 4 ), the salt is in equilibrium with calcium ions and sulfate ions. Most of the calcium sulfate will remain as molecules, but a small percentage will dissociate into ions. CaSO 4 ⇌ Ca 2+ (aq) + SO 4 2- (aq) K sp = 2.4 x 10 -5 If we add some calcium chloride to this saturated solution, the concentration of the calcium ion in the solution would increase. The product of [Ca 2+ ] times [SO 4 2- ] would also increase, and would momentarily be greater than the K sp . The equilibrium above would shift to the left because of the added calcium ion, according the Le Chatelier’s principle. More calcium sulfate would precipitate out of the solution until the ionic product once again becomes equal to the Ksp. Notice that when the equilibrium is again reached, the concentrations of the calcium and sulfate ions would no longer be equal to each other. The calcium ion concentration would be much higher, but the product of the concentrations would still be equal to the K sp . 7.15.3 Applications of Solubility product and common ion effect in qualitative salt analysis Precipitation of Group II and IIIB cations as sulfides Hydrogen sulphide is a weak electrolyte and is used for the precipitation of various sulfides of group II (Bi 3+ , Hg 2+ , Cu 2+ , etc.) and IIIB (Co 2+ , Ni 2+ , Mn 2+ , etc.) in quantitative analysis. It ionizes to a small extent in water: H 2 S ⇌ 2H + + S 2- The concentrations of S 2- ions can be decreased by increasing concentration of H + ions and it can be increased by decreasing concentration of H + ions due to common ion effect. In group II, lower concentration of sulphide ions is required as the solubility products of the sulfides of group II are low while higher concentration of sulfide ions is required for group IIIB as the solubility products of the sufides of group IIIB are high. The concentration of S 2- ions in group II is lowered by controlling H + ion concentration. In the presence of HCl, the ionization of H 2 S is suppressed due to common ion effect and the concentration is adjusted in such a way that only ionic products of the sulfides of group II exceed their solubility products and therefore, get precipitated. In group IIIB, higher concentration of S 2- ions is needed and this is done by changing the medium from acidic to alkaline. Ammonium hydroxide is added, the HO ions furnished by NH 4 OH remove H + ions from solution in the form of water molecules. More of the ionization of H 2 S occurs and, thus, concentration of S 2- ions increases. Precipitation of Group IIIA cations as hydroxides The hydroxide salts of group IIIA cations (AI 3+ , Fe 3+ , Cr 3+ , etc.) are having lower K sp value while further group cation hydroxides are having higher K sp values. Hence hydroxides of IIIA group get precipitated while hydroxides of further group cations remain in solution. This is done by adding NH 4 CI followed by addition of NH 4 OH. NH 4 Cl → NH 4+ + Cl- (strong electrolyte) NH 4 OH ⇌ NH 4+ + HO- (weak electrolyte) NH 4 + ion furnished by NH 4 Cl lowers the ionisation of NH 4 OH and hence the concentration of HO - ion. At low concentration of hydroxide ion only group IIIA hydroxides precipitate. Precipitation of Group IV cations as carbonates The K sp values of carbonate salts of group IV cations (Ca 2+ , Sr 2+ , Ba 2+ , etc.) are low. Hence for their precipitation limited carbonate (CO 3 2- ) ions are required. This is done in presence of NH 4 OH, NH 4 Cl and (NH 4 ) 2 CO 3 . NH 4 + ions of NH 4 OH suppresses ionization of (NH 4 ) 2 CO 3 by which limited CO 3 2- ions produces which are enough for precipitation of group IV cations. The NH 4 Cl added suppresses ionization of NH 4 OH by common ion effect unless hydroxide salt of group V cation (Mg 2+ ) may precipitate along with group IV carbonate precipitate.