aContents:Importance of Redox reactions Classical concept of Redox reactionsRedox reactions in terms of Electron transferOxidation NumberRedox reactions in terms of oxidation numbersFractional Oxidation NumberTypes of Redox ReactionsBalancing (the equation) of Redox reactionsRedox reactions as the basis of TitrationCompetitive electron transfer reactionsRedox reactions and Electrode processesElectrochemical series8.1 Importance of Redox reactionsTransformation of matter from one type into another occurs through various types of chemical reactions and a Redox reaction is one of these types of chemical reactions. The word ‘Redox’ is formed by combination of two words; Reduction and Oxidation. Such a reaction in which reduction and oxidation occur simultaneously is called a Redox reaction. When an apple is cut, it turns brown after sometimes because of a chemical reaction called oxidation and all oxidation reactions are accompanied by reduction reactions and vice versa. Redox reactions are the basis of electrochemistry. They have various laboratory and industrial applications. The charging and discharging of an electric battery is a redox reaction. Respiration, on which our life depends, is another example of a redox reaction. In this case, the glucose molecules are oxidized while oxygen molecules are reduced to form water. On an industrial level, redox reactions are used for extracting metals from their ores as metals occur in nature as ores in their oxidized forms and to extract them, we need reducing agents.8.2 Classical concept of Redox reactionsOxidation reactions may involve any of the following: i) Addition of oxygen C + O2 → CO2 (oxygen is added to carbon)ii) Addition of electronegative element Fe + S → FeS (sulfur is added to iron)iii) Removal of hydrogen H2S + Br2 → 2 HBr + S (hydrogen is removed from H2S)iv) Removal of electropositive elements 2 KI + H2O2 → I2 + 2KOH (potassium is removed from KI)Oxidising agent is a substance which oxidizes other substances. In these examples; O2, S, Br2, and H2O2 are oxidising agents.Reduction reactions may involve any of the following: v) Addition of hydrogen N2 + 3H2 → 2NH3 (H is added to nitrogen)vi) Addition of electropositive element SnCl2 + 2HgCl2 → SnCl4 + Hg2Cl2 (addition of mercury to HgCl2)vii) Removal of oxygen ZnO + C → Zn + CO (oxygen is removed from ZnO)viii) Removal of electronegative element 2FeCl3 + H2 → 2FeCl2 + 2HCl (Cl is removed from FeCl3)Reducing agent is a substance which reduces other substances. In these examples H2 (v and viii), SnCl2 and C are Reducing agents.A substance, which undergoes oxidation, acts as a reducing agent while a substance, which undergoes reduction, acts as an oxidising agent. In any of a chemical reaction if one of the reactants is oxidized, other is surely reduced, i.e. oxidation and reduction always take place simultaneously, hence, the word ‘redox’ was coined for this class of chemical reactions. For example; in (vi), HgCl2 is reduced to Hg2Cl2 whereas SnCl2 is oxidised to SnCl4.8.3 Redox reactions in terms of Electron transferThis is the most widely applicable definition of oxidation and reduction. Oxidation is the loss of electrons and reduction is the gain of electrons. A redox (oxidation-reduction) reaction is a type of chemical reaction that involves a transfer of electrons between two species. As electrons are neither created nor destroyed in a chemical reaction, oxidation and reduction always occur in pairs, it cannot occur individually. Redox reactions are comprised of two parts, a reduction half reaction and an oxidation half reaction, that always occur together. The reduced half gains electrons and the oxidation number decreases, while the oxidized half loses electrons and the oxidation number increases. As there is no net change in the number of electrons in a redox reaction, the electrons given off in the oxidation half reaction are taken up by another species in the reduction half reaction.The two species that exchange electrons in a redox reaction are defined as The species (ion, atom or molecule) that accepts electrons is called the oxidizing agent - by accepting electrons it oxidizes other species. The species (ion, atom or molecule) that donates electrons is called the reducing agent - by giving electrons it reduces the other species.Hence, what is oxidized is the reducing agent and what is reduced is the oxidizing agent. A pictorial representation is shown below.
As an example, we will take the reaction between sodium metal and sulfur producing sodium sulfide.2Na + S → Na2SThe reaction can be written with the charges on the species as
We can write the two half reactions, one involving the loss of electrons and the other involving the gain of electrons as2Na → 2Na+ + 2e- ………….(oxidation half reaction)S + 2e- → S2- …………(reduction half reaction)These half reactions explicitly show involvement of electrons. Sum of the half reactions gives the overall reaction.8.4 Oxidation numberOxidation and reduction can further be explained by the knowledge of ‘Oxidation number’. Oxidation number is defined as the imaginary charge appears on the atom in a molecule or ion, when electrons are assigned in accordance with some arbitrary rules on the basis that electron pair in a covalent bond belongs entirely to more electronegative element. A term that is often used interchangeably with oxidation number is ‘oxidation state’. If two or more than two atoms of an element are present in the molecule or ion (such as Na2S2O3, Cr2O72- etc.), the oxidation number of the atom of that element will be average of the oxidation number of all the atoms of that element. When the atom loses electrons its oxidation state increases and when the atom gains electrons its oxidation state decreases. The term oxidation number represents the positive or negative character of the atom in a compound. Electrons shared by two like atoms are divided equally between the two atoms. Electrons shared between two unlike atoms are assigned to the more electronegative atom of them.The rules for calculation of oxidation number as mentioned before are as followsi) The oxidation number (O.N.) of an element in a free atomic state (Na, H, Cl, P etc.) or in its poly-atomic state (graphite, H2, Cl2, P4, etc.) is always zero. ii) For a monatomic ion, the oxidation state is equal to the net charge on the ion. Example: The oxidation number of sodium in Na+ is +1. The oxidation number of chlorine in Cl- is -1.iii) The algebraic sum of oxidation states of all atoms in a molecule is equal to zero, while in ions, it is equal to the net charge on the ion.Example: In H2SO4, [2 × (O.N. of H) + 1 x (O.N. of S) + 4 x (O.N. of O)] = 0 .In SO42-, [1 x (O.N. of S) + 4 x (O.N. of O)] = -2.iv) Hydrogen has an oxidation number of +1 in all its compounds except in metal hydrides where it has -1 value.Example: Oxidation number of H in hydrogen chloride (HCl), H2O, etc. is +1. Oxidation number of H in metal hydrides such as LiH, CaH2, KH, etc. is -1.v) The oxidation state of oxygen in most compounds is -2. Exceptions are peroxides (O.N. is -1), super oxides (O.N. is -1/2) and compounds with fluorine (O.N. is positive as O is less electronegative than F).vi) Fluorine has an oxidation state of -1 in all its compounds as F is the most electronegative element. Other halogens (Cl, Br, and I) also have an oxidation number of -1 when they occur as halide ions (Cl-, Br-, I-) in their compounds. When halogens are combined with oxygen, for example in oxoacids and oxoanions, they have positive oxidation numbers (as halogens are less electronegative that oxygen).Example: In HI, KCl, MgBr2; O.N. of halogens is -1 as they are present as halide ions. In both oxoacid HClO4 (perchloric acid) and oxoanion ClO4- (chlorate ion), the O.N. of chlorine is +7.vii) Alkali metals of group 1 (Li, Na, K etc.) have an oxidation state of +1 and alkaline earth metals of group 2 (Be, Mg, Ca etc.) have an oxidation state of +2 in all their compounds. vii) In a coordination compounds (involving co-ordination by ligands), it is more convenient to use oxidation number of ligands as a whole instead of the oxidation number of individual atoms. For example, in [Ni(CN)4]2- anion the O.N. of CN- ion is -1. Here CN- as a whole is considered and not of individual C or N. Here, nickel has O.N. +2.On the basis of the above rules, calculation of oxidation number of a particular given atom in some molecules and ions are shown below.
8.4.1 Valency and Oxidation numberValency is a different term than oxidation number though sometimes the valency and the oxidation number of an element are same in a compound. Valency of an element is given by the number of electrons it actually loses or gains or shares during the formation of a compound, whereas oxidation number is just the apparent charge (not necessarily actual) over the atom when the electrons are counted according to the arbitrary rules given earlier.In most of the cases, the valency of an element is constant whereas the oxidation state of an element may vary in its different compounds. Valency and oxidation states of carbon in its different compounds give a good example of this. In CH4, CH3Cl, CH2Cl2, CHCl3 and CCl4 the valency of carbon is always four (due to sharing of four electrons) but its oxidation number is -4, -2, 0, +2 and +4 respectively.8.4.2 Redox reactions in terms of oxidation numbersDuring redox reactions, the oxidation number of elements changes. A reaction in which oxidation number of the element increases is called oxidation. A reaction in which it decreases is called reduction.Consider the following reaction
In this reaction, Mn7+ in potassium permanganate (KMnO4) oxidizes Fe2+ present in ferrous sulfate (FeSO4) into Fe3+ present in ferric sulfate {Fe2(SO4)3} by gaining electrons and thereby itself gets reduced to Mn2+. Such reagents are called oxidizing agents or oxidants. In another way it can be said that Fe2+ reduces Mn7+ by giving electrons and thereby itself gets oxidized to Fe3+. Such reagents are called reducing agents or reductants. In this reaction, except Mn and Fe, oxidation numbers of atoms of all other elements are intact before and after the reaction.8.4.3 Fractional Oxidation NumberIn certain compounds, while calculating the oxidation number of a particular element following the rules as mentioned early (vide supra 8.4), we can get fraction values. Some examples are Br3O8 where oxidation number of Br is 16/3 Na2S4O6 where oxidation number of S is 5/2 C3O2 where oxidation number of C is 4/3Since the numbers of electrons are whole numbers, the oxidation number of individual atoms should be a whole integer. In these examples, if we see the actual structure with proper bonding, it is found that the atom for which we are calculating oxidation number is present with different oxidation states at different positions and hence has to be, calculated individually; taking into consideration the atoms to which it is bonded. Calculation of the oxidation state of the atom using the normal method assumes all the same atoms as equal and will give only an average of the different oxidation states of the same atom in the molecule. This average oxidation state is mostly a fraction instead of a whole number. So, the fractional oxidation state is always an average oxidation number of the same atoms in a molecule and does not reflect the true state of the oxidation state of atoms. Calculation of average oxidation numbers in these three examples are shown below.
8.5 Types of Redox ReactionsThe four common redox reactions; combination, decomposition, single displacement and disproportionation are discussed below:Combination reaction A combination reaction generally represented as: A + B → CFor such a reaction to be a redox reaction either A and B or both A and B must be in the elemental form. All combustion reactions, which make use of elemental dioxygen (O2), as well as other reactions involving elements other than O2, are redox reactions.C + O2 → CO2In the example above, the reactants C and O2 have an oxidation state of zero because they are in their molecular forms. On the product side, the oxidation state of carbon is changed to +4, and for oxygen, it is -2. Here, simultaneous oxidation and reduction occur in one reaction. Hence, it is a combination redox reaction or combustion redox reaction.Decomposition reaction A decomposition reaction generally represented as: A → B + CThese reactions are the opposite of combination reactions. Precisely, a decomposition reaction leads to the breakdown of a compound into two or more components at least one of which must be in the elemental state.2H2O ⟶ 2H2 + O2Here, two molecules of H2O are decomposed into H2 and O2. As a result, the oxidation state of hydrogen changed from +1 to 0 (reduction), while the oxidation state of oxygen changed from -2 to 0 (oxidation).Single displacement reaction It is a type of reaction in which an ion (or an atom) is substituted for another ion (or an atom) in a compound. They are further classified into (i) metal displacement reactions (ii) non-metal displacement reactions. It can be generally represented as A + BC ⟶ B + AC(i) Metal displacement reactions: In these reactions, a metal ion in a compound is replaced by another metal. It is found that metals with a strong reducing character can displace other metals with a weaker reducing character.
Here, Zn being more reducing in nature compared to Cu, is displacing Cu2+ ion from CuSO4.(ii) Non-metal displacement reactions: It includes mainly hydrogen displacement by a metal.
Here, hydrogen is replaced by Zn metal. It can also be said that H+ ion is reduced by Zn metal and itself is oxidized by H+.Disproportionation reactionIn some redox reactions, the same compound can undergo both oxidation and reduction simultaneously. In such reactions, the oxidation state of an element is both increased and decreased. These reactions are called disproportionation or auto-redox reactions.
Here, chlorine is oxidized to chlorate (ClO3-) and reduced to chloride (Cl-) simultaneously.The reverse of disproportionation reaction is comproportionation reaction where two reactants having the same element but with different oxidation numbers, form a compound having an intermediate oxidation number.8.6 Balancing (the equation) of Redox reactionsThe two methods for balancing the equation of redox reactions are as follows.i. Oxidation number methodii. Ion-electron method / Half reaction methodThere’s no real difference between the oxidation number method and the half-reaction method. They are just different ways of keeping track of the electrons transferred during the reaction. Both are based on the same principle: In oxidation - reduction reactions the total number of electrons donated by the reducing agent is equal to the total number of electrons gained by the oxidising agent. The first method is based on the change in the oxidation number of reductant and the oxidant and the other method is based on splitting the redox reaction into two half reactions - one involving oxidation and the other involving reduction. Sometimes one method is more convenient than the other method.i. Oxidation number methodThe reaction of iron(III) oxide (Fe2O3) with carbon monoxide (CO) that takes place in a blast furnace during the processing of iron ore into metallic iron will be used as an example to show the steps followed in this method.Fe2O3 (s) + CO (g) → Fe (s) + CO2 (g)Step I: Assign oxidation numbers to the atoms of all the elements in the equation and write above those atoms.
Step II: Identify those atoms where there is a change in oxidation number that is where oxidation or reduction occurred. Here, the carbon atom is being oxidized since its oxidation increases from +2 to +4. The iron atom is being reduced since its oxidation number decreases from +3 to 0.
The carbon atom’s oxidation number increases by 2, while the iron atom’s oxidation number decreases by 3. As written, the number of electrons lost does not equal the number of electrons gained but in a balanced redox equation, these must be equal.Step III: Use coefficients to make the total increase in oxidation number equal to the total decrease in oxidation number. In this case, the least common multiple of 2 and 3 is 6. So the oxidation-number increase should be multiplied by 3, while the oxidation-number decrease should be multiplied by 2.
Step IV: The coefficient should be applied to the formulas in the equation to balance both atoms and charge. So, a 3 is placed in front of the CO and CO2. A 2 is placed in front of Fe on the right side of the equation. Fe2O3 does not require a coefficient.Fe2O3 (s) + 3CO (g) → 2Fe (s) + 3CO2 (g)The equation is now balanced.Note: (i) In the reactions taking place in acidic medium, balance the O atom by adding the required number of H2O molecules to the side deficient in O atoms. Then balance the H atoms by adding H+ to the side deficient in H atoms.(ii) For the reaction in a basic medium, first balance the atoms as is done in acidic medium. Then for each H+ ion, add an equal number of HO– ions to both sides of the equation. Where H+ and HO– appear on the same side of the equation, combine these two ions to give H2O.ii. Ion-electron method / Half reaction methodThis method is mainly used for ionic redox reactions. Let us consider the following example to show the steps followed in this method. It is the reaction between potassium permanganate and ferrous sulphate in acidic medium.KMnO4 + FeSO4 + H2SO4 → MnSO4 + Fe2(SO4)3 + K2SO4 + H2OStep I: Write the ionic form of this reaction and assign oxidation numbers to the atoms of all the elements in the equation and write above the atoms.
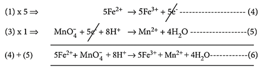
Step II: Separate the equation into half-reactions: oxidation and reduction.Oxidation: Fe2+ → Fe3+ + 1e- -------------------- (1)Reduction: MnO4− + 5e- → Mn2+ -------------------- (2)Step III: Balance the atoms other than O and H in each half reaction individually. Here the oxidation and reduction half reactions are already balanced with respect to Fe and Mn atoms. Step IV: Balance the O and H atoms. For equation (2), 4 ’O’ atoms are on the reactant side, therefore add 4H2O on the product side and then to balance ’H’ - add, 8H+ in the reactant side.MnO4- + 5e- + 8H+ → Mn2+ + 4H2O ---------------- (3)Check whether charges are same on both sides of the two equations. Here, for equations (1) and (2), charges are same on both sides.Step IV: Equate both half reactions in such a way that the number of electrons lost is equal to the number of electrons gained and that can be done by multiplying equation (1) by 5 and equation (3) by 1. Addition of two half reactions (equations 4 and 5) gives the balanced equation represented by equation (6).
Finally, verify that the equation contains the same type and number of atoms and the same charges on both sides of the equation.8.7 Redox reactions as the basis of TitrationAmong different types of titration techniques, redox titration is based on an oxidation-reduction reaction between the titrant (solution of a known concentration, which is added to another solution whose concentration has to be determined) and the analyte/titrand (the solution whose concentration has to be determined) using a redox sensitive indicator. It is one of the most common laboratory methods to identify the concentration of analytes. The three main types of titrations are described below. Permanganate Titrations Dichromate Titrations Iodimetric and Iodometric TitrationsPermanganate TitrationsIn this titration, the analyte is oxalic acid (C2H2O4) and the titrant is potassium permanganate (KMnO4). The oxalic acid acts as a reducing agent, and the KMnO4 acts as an oxidizing agent. Since the reaction takes place in an acidic medium (dilute sulfuric acid), the oxidizing power of the permanganate ion is increased.KMnO4 acts as an indicator as the permanganate ion (MnO4–) has a deep purple colour. In this redox titration, MnO4– is reduced to colourless manganous ions (Mn2+). The last drop of permanganate gives a light pink colour indicating the endpoint. The following chemical equation can represent the reactions that occur. Half Ionic equationsOxidation: C2O42- → 2CO2 + 2eReduction: MnO4- + 8H+ + 5e → Mn2+ + 4H2OComplete Balanced Ionic equation 2MnO4- + 16H+ + 5C2O42- → Mn2+ + 8H2O + 10CO2Molecular equation2KMnO4 + 3H2SO4 + 5H2C2O4.2H2O → K2SO4 + 2MnSO4 + 18H2O + 10CO2Dichromate TitrationsIn this method, potassium dichromate (K2Cr2O7) acts as the oxidant in the acidic medium (dilute sulphuric acid). The principle of dichrometry is based on the fact that the dichromate ion (Cr2O72-) can be reduced to the chromium(III) ion (Cr3+) by a reducing agent, such as Fe2+, Sn2+, I--, or C2O42- in an acidic solution. Unlike KMnO4, in this case, there is no drastic auto colour change. However, Cr2O72- oxidizes the indicator diphenylamine and just after achieving the equivalence point generates an intense blue colour. This method is used in the estimation of ferrous salts and iodides.Iodimetric and Iodometric TitrationsIn these cases, an iodine solution is reacted with a reducing agent to make iodide while employing a starch indicator to identify the end point. The main difference between iodometric and iodimetric titration is that iodometric titration is a method of indirect titration, whereas iodimetric titration is a method of direct titration.Iodimetric Titration:Iodimetry is a technique that involves titrating free iodine with a reducing agent. As a result, iodine decreases to iodide and oxidises other species. I2 + reducing agent → 2I-Free I2 though insoluble in water, but remains as KI3 in KI solution. Here, starch is used as an indicator for detecting the presence of I2 as it forms intense blue coloured complex with I2. Iodometric Titrations:The use of this method is limited to the reagents capable of oxidizing I- ions such as Cu(II) Cl2, etc. At first, iodide is oxidized to I2 by this oxidizing agent. The released I2 can then be titrated using the common reducing agent thiosulfate ions (S2O32-) and converted again to iodide ion. The reaction mixture will appear dark blue (in presence of starch indicator) when there is iodine in it, but once all of the iodine has been used up; the dark colour will fade away.Cl2 + 2I- → 2Cl- + I2I2 + 2S2O32- → S4O62- + 2I-We can calculate the quantity of Cl2 based on the results of the two titrations above using stoichiometric calculation.8.8 Competitive electron transfer reactionsIf we place a strip of metallic zinc in an aqueous solution of copper sulfate for about one hour, we will notice that the strip becomes coated with reddish metallic copper and the blue colour of the solution disappears. Formation of Zn2+ ions among the products can easily be judged when the blue colour of the solution due to Cu2+ has disappeared. If hydrogen sulphide (H2S) gas is passed through the colourless solution containing Zn2+ ions, appearance of white ZnS can be seen on making the solution alkaline with ammonia. It proves Zn2+ ion is present in the medium. The reaction occurred here is
Zn(s) + Cu2+ (aq) → Zn2+ (aq) + Cu(s)Zn is oxidized by Cu2+ to Zn2+ and Cu2+ ion is reduced by gaining electrons from the Zn. However, if we place a metallic copper strip in zinc sulphate solution, the reverse reaction does not occur. Therefore, we conclude that among zinc and copper, zinc has more tendency to release electrons and copper to accept the electrons.Let us extend the reaction to copper metal and silver nitrate solution. If we place copper wire in sliver nitrate solution, after some time, the solution slowly turns blue. This is due to the formation of Cu2+ ions, i.e. copper replaces silver from silver nitrate. The reaction is,
It indicates that between copper and silver, copper has the tendency to release electrons and silver to accept electrons.From the above two experimental observations, we can conclude that among the three metals, namely, zinc, copper and silver, the electron releasing tendency is in the following order: Zn > Cu > Ag. In practice, the list of order of reducing tendency is extended as a metal activity series or electrochemical series. This kind of competition for electrons release among various metals helps us to design galvanic cells in which the chemical reactions (chemical energy) become the source of electrical energy. 8.9 Redox reactions and Electrode processesThe reaction between Zn strip in copper sulfate solution (vide supra 8.8) can be designed in such a way that electrons are transferred indirectly which necessitates the separation of zinc metal from copper sulfate solution. The whole set up is done in voltaic cell or galvanic cell where chemical energy is converted to electrical energy. For this particular reaction as mentioned above the cell is known as Daniell cell which is one of the types of voltaic cell/galvanic cell.The cell consists of two separate compartments called half-cell. A half-cell is one part of a voltaic cell in which either the oxidation or reduction half-reaction takes place. The left half-cell is a strip of Zn metal in ZnSO4 solution. The right half-cell is a strip of Cu metal in CuSO4 solution. The strips of metal are called electrodes that are conductors in a circuit that is used to carry electrons to the solution part of the circuit. Now, in both the compartments reaction takes place at the interface of the metal and its salt solution where reduced and oxidized forms of the same species are present. A redox couple is having together the oxidised and reduced forms of the same substance taking part in an oxidation or reduction half reaction. In this experiment the two redox couples are represented as Zn2+/Zn and Cu2+/Cu. By convention, oxidized forms are written before the reduced forms.The solutions in two compartments are connected by a salt bridge (a U shaped tube containing a solution of strong electrolyte like KCl, NH4NO3 etc. usually solidified by boiling with agar agar and later cooling to a jelly like substance). This provides an electric contact between the two solutions without allowing them to mix with each other. The two electrodes are connected by a metallic wire able to conduct electrons with a provision for an ammeter and a switch. The switch opens or closes the circuit.
When the switch is in ‘on’ position following processes start. Zn atoms from the zinc electrode are oxidized to Zn2+. The electrode at which oxidation occurs is called the anode. The zinc anode gradually diminishes as the cell operates due to the loss of zinc metal. The concentration of Zn2+ ion in the left half-cell increases. Because of the production of electrons at the anode, it is labelled as the negative electrode.Zn(s) →Zn2+ (aq) + 2e- The electrons that are generated at the zinc anode travel through the external wire and register a reading on the ammeter. They continue to the copper electrode. Electrons enter the Cu electrode where they combine with the Cu2+ ions in the solution, reducing them to Cu metal. Cu2+ (aq) + 2e- → Cu(s) The electrode at which reduction occurs is called the cathode which gradually increases in mass because of the production of Cu metal. The concentration of Cu2+ ions in the half-cell solution decreases. The cathode is the positive electrode. The two half-reactions can again be summed to provide the overall redox reaction occurring in the voltaic cell.Zn(s) + Cu2+ (aq) → Zn2+ (aq) + Cu(s)8.9.1 Role of Salt BridgeThe electrons move through the wire leaving the unbalanced positive charge (Zn2+) in the left compartment. In order to maintain neutrality, the negatively charged ions (NO3-) in the salt bridge will migrate into the anodic half-cell. A similar (but reversed) situation is found in the cathodic cell, where Cu2+ ions are being consumed, and therefore electroneutrality is maintained by the migration of K+ ions from the salt bridge into this half-cell.
8.9.2 Electrochemical series The flow of current is possible only if there is a potential difference between the two electrodes. The potential associated with each electrode is known as electrode potential. If the concentration of each species taking part in the electrode reaction is unity (if any gas appears in the electrode reaction, it is confined to 1 atm) and the reaction is carried out at 298 K, then the potential of each electrode is said to be the Standard Electrode Potential (Eº). By convention, the standard electrode potential of hydrogen electrode (standard hydrogen electrode or SHE) is 0.00 volts. Standard electrode potential is obtained by measuring the voltage when the half-cell is connected to the standard hydrogen electrode under standard conditions.Electrochemical series (also called activity series), is a list that describes the arrangement of elements in the order of their increasing electrode potential values. The series has been established by measuring the potential of various electrodes versus standard hydrogen electrode (SHE). The electrode potential value for each electrode process is a measure of the relative tendency of the active species in the process to remain in the oxidised/reduced form. A negative Eº means that the redox couple is a stronger reducing agent than the H+/H2 couple. A positive Eº means that the redox couple is a weaker reducing agent than the H+/H2 couple. The standard electrode potentials are very important and we can get a lot of other useful information from them. The values of standard electrode potentials for some electrode processes based on reduction reactions (electrochemical series) are shown below.
Subscribe
Would you like to receive our Newsletter, NEET- IIT Videos, STEM Materials, NEET-IIT Solved previous year question papers.
Book Your Demo Class
Try for 1 Month @
Rs 2,000 only few seats available. Offer Ends Soon.
Book now and get your free unlimited TeenEinstein Portal Access.
You are now subscribed to our Newsletter etc.
Would you like to continue Free Trial.
TeenEinstein Stem Platform Portal access for 30 days Would you like to get the Portal access free trial for 30 days .
TakeBreak
You have watched Screen for 30 minutes, please relax your eyes by watching any other object at 20 feet for 20 secs.